728x90
www.youtube.com/watch?v=aOhhNFTIeFI&list=PLRx0vPvlEmdAghTr5mXQxGpHjWqSz0dgC&index=8
기타 그래프 이론
서로소 집합
- 서로소 집합(Disjoint Sets)란 공통 원소가 없는 두 집합을 의미

서로소 집합 자료구조
-
서로소 부분 집합들로 나누어진 원소들의 데이터를 처리하기 위한 자료구조
-
서로소 집합 자료구조는 두 종류의 연산을 지원한다
- 합집합(Union): 두 개의 원소가 포함된 집합을 하나의 집합으로 합치는 연산
- 찾기(Find): 특정한 원소가 속한 집합이 어떤 집합인지 알려주는 연산
-
서로소 집합 자료구조는 합치기 찾기(Union Find) 자료구조라고 불리기도 한다
-
여러 개 합치기 연산이 주어졌을 때 서로소 집합 자료구조의 동작 과정은 다음과 같다
- 합집합(Union) 연산을 확인하여, 서로 연결된 두 노드 A, B를 확인한다
- A와 B의 루트 노드 A′, B′를 각각 찾는다
- A′를 B′의 부모 노드로 설정한다
- 모든 합집합(Union) 연산을 처리할 때까지 1번의 과정을 반복한다
- 합집합(Union) 연산을 확인하여, 서로 연결된 두 노드 A, B를 확인한다
서로소 집합 자료구조: 동작 과정 살펴보기
- 처리할 연산들: 𝑈𝑛𝑖𝑜𝑛(1,4), 𝑈𝑛𝑖𝑜𝑛(2,3), 𝑈𝑛𝑖𝑜𝑛(2,4), 𝑈𝑛𝑖𝑜𝑛(5,6)
- [초기 단계] 노드의 개수 크기의 부모 테이블을 초기화한다

- 처리할 연산들: 𝑈𝑛𝑖𝑜𝑛(1,4), 𝑈𝑛𝑖𝑜𝑛(2,3), 𝑈𝑛𝑖𝑜𝑛(2,4), 𝑈𝑛𝑖𝑜𝑛(5,6)
- [Step 1] 노드 1과 노드 4의 루트 노드를 각각 찾는다. 현재 루트 노드는 각각 1과 4이므로 더 큰 번호에
해당하는 루트 노드 4의 부모를 1로 설정한다

- 처리할 연산들: 𝑈𝑛𝑖𝑜𝑛(1,4), 𝑈𝑛𝑖𝑜𝑛(2,3), 𝑈𝑛𝑖𝑜𝑛(2,4), 𝑈𝑛𝑖𝑜𝑛(5,6)
- [Step 2] 노드 2과 노드 3의 루트 노드를 각각 찾는다. 현재 루트 노드는 각각 2와 3이므로 더 큰 번호에
해당하는 루트 노드 3의 부모를 2로 설정한다

- 처리할 연산들: 𝑈𝑛𝑖𝑜𝑛(1,4), 𝑈𝑛𝑖𝑜𝑛(2,3), 𝑈𝑛𝑖𝑜𝑛(2,4), 𝑈𝑛𝑖𝑜𝑛(5,6)
- [Step 3] 노드 2과 노드 4의 루트 노드를 각각 찾는다. 현재 루트 노드는 각각 2와 1이므로 더 큰 번호에
해당하는 루트 노드 2의 부모를 1로 설정한다

- 처리할 연산들: 𝑈𝑛𝑖𝑜𝑛(1,4), 𝑈𝑛𝑖𝑜𝑛(2,3), 𝑈𝑛𝑖𝑜𝑛(2,4), 𝑈𝑛𝑖𝑜𝑛(5,6)
- [Step 4] 노드 5과 노드 6의 루트 노드를 각각 찾는다. 현재 루트 노드는 각각 5와 6이므로 더 큰 번호에
해당하는 루트 노드 6의 부모를 5로 설정한다

서로소 집합 자료구조: 연결성
- 서로소 집합 자료구조에서는 연결성을 통해 손쉽게 집합의 형태를 확인할 수 있다

- 기본적인 형태의 서로소 집합 자료구조에서는 루트 노드에 즉시 접근할 수 없다
- 루트 노드를 찾기 위해 부모 테이블을 계속해서 확인하며 거슬러 올라가야 한다
- 다음 예시에서 노드 3의 루트를 찾기 위해서는 노드 2를 거쳐 노드 1에 접근해야 한다

서로소 집합 자료구조: 기본적인 구현 방법 (Python)
# 특정 원소가 속한 집합을 찾기
def find_parent(parent, x):
# 루트 노드가 아니라면, 루트 노드를 찾을 때까지 재귀적으로 호출
if parent[x] != x:
return find_parent(parent, parent[x])
return x
# 두 원소가 속한 집합을 합치기
def union_parent(parent, a, b):
a = find_parent(parent, a)
b = find_parent(parent, b)
if a < b:
parent[b] = a
else:
parent[a] = b
# 노드의 개수와 간선(Union 연산)의 개수 입력 받기
v, e = map(int, input().split())
parent = [0] * (v + 1) # 부모 테이블 초기화하기
# 부모 테이블상에서, 부모를 자기 자신으로 초기화
for i in range(1, v + 1):
parent[i] = i
# Union 연산을 각각 수행
for i in range(e):
a, b = map(int, input().split())
union_parent(parent, a, b)
# 각 원소가 속한 집합 출력하기
print('각 원소가 속한 집합: ', end='')
for i in range(1, v + 1):
print(find_parent(parent, i), end=' ')
print()
# 부모 테이블 내용 출력하기
print('부모 테이블: ', end='')
for i in range(1, v + 1):
print(parent[i], end=' ')
서로소 집합 자료구조: 기본적인 구현 방법 (Java)
import java.util.*;
public class Main {
// 노드의 개수(V)와 간선(Union 연산)의 개수(E)
// 노드의 개수는 최대 100,000개라고 가정
public static int v, e;
public static int[] parent = new int[100001]; // 부모 테이블 초기화하기
// 특정 원소가 속한 집합을 찾기
public static int findParent(int x) {
// 루트 노드가 아니라면, 루트 노드를 찾을 때까지 재귀적으로 호출
if (x == parent[x]) return x;
return findParent(parent[x]);
}
// 두 원소가 속한 집합을 합치기
public static void unionParent(int a, int b) {
a = findParent(a);
b = findParent(b);
if (a < b) parent[b] = a;
else parent[a] = b;
}
public static void main(String[] args) {
Scanner sc = new Scanner(System.in);
v = sc.nextInt();
e = sc.nextInt();
// 부모 테이블상에서, 부모를 자기 자신으로 초기화
for (int i = 1; i <= v; i++) {
parent[i] = i;
}
// Union 연산을 각각 수행
for (int i = 0; i < e; i++) {
int a = sc.nextInt();
int b = sc.nextInt();
unionParent(a, b);
}
// 각 원소가 속한 집합 출력하기
System.out.print("각 원소가 속한 집합: ");
for (int i = 1; i <= v; i++) {
System.out.print(findParent(i) + " ");
}
System.out.println();
// 부모 테이블 내용 출력하기
System.out.print("부모 테이블: ");
for (int i = 1; i <= v; i++) {
System.out.print(parent[i] + " ");
}
System.out.println();
}
}
서로소 집합 자료구조: 기본적인 구현 방법의 문제점
- 합집합(Union) 연산이 편향되게 이루어지는 경우 찾기(Find) 함수가 비효율적으로 동작한다
- 최악의 경우에는 찾기(Find) 함수가 모든 노드를 다 확인하게 되어 시간 복잡도가 O(V) 이다
- 다음과 같이 {1, 2, 3, 4, 5}의 총 5개의 원소가 존재하는 상황을 확인해 보자
- 수행된 연산들: 𝑈𝑛𝑖𝑜𝑛(4,5), 𝑈𝑛𝑖𝑜𝑛(3,4), 𝑈𝑛𝑖𝑜𝑛(2,3), 𝑈𝑛𝑖𝑜𝑛(1,2)

서로소 집합 자료구조: 경로 압축
-
찾기(Find) 함수를 최적화하기 위한 방법으로 경로 압축(Path Compression)을 이용할 수 있다
- 찾기(Find) 함수를 재귀적으로 호출한 뒤에 부모 테이블 값을 바로 갱신한다
# 특정한 원소가 속한 집합을 찾기 def find_parent(parent, x): # 루트 노드가 아니라면, 루트 노드를 찾을 때까지 재귀적으로 호출 if parent[x] != x: parent[x] = find_parent(parent, parent[x]) return parent[x] -
경로 압축 기법을 적용하면 각 노드에 대하여 찾기(Find) 함수를 호출한 이후에 해당 노드의 루트 노드가
바로 부모 노드가 된다 -
동일한 예시에 대해서 모든 합집합(Union) 함수를 처리한 후 각 원소에 대하여 찾기(Find) 함수를 수행하면
다음과 같이 부모 테이블이 갱신된다 -
기본적인 방법에 비하여 시간 복잡도가 개선된다

서로소 집합 자료구조: 경로 압축 (Python)
# 특정 원소가 속한 집합을 찾기
def find_parent(parent, x):
# 루트 노드가 아니라면, 루트 노드를 찾을 때까지 재귀적으로 호출
if parent[x] != x:
parent[x] = find_parent(parent, parent[x])
return parent[x]
# 두 원소가 속한 집합을 합치기
def union_parent(parent, a, b):
a = find_parent(parent, a)
b = find_parent(parent, b)
if a < b:
parent[b] = a
else:
parent[a] = b
# 노드의 개수와 간선(Union 연산)의 개수 입력 받기
v, e = map(int, input().split())
parent = [0] * (v + 1) # 부모 테이블 초기화하기
# 부모 테이블상에서, 부모를 자기 자신으로 초기화
for i in range(1, v + 1):
parent[i] = i
# Union 연산을 각각 수행
for i in range(e):
a, b = map(int, input().split())
union_parent(parent, a, b)
# 각 원소가 속한 집합 출력하기
print('각 원소가 속한 집합: ', end='')
for i in range(1, v + 1):
print(find_parent(parent, i), end=' ')
print()
# 부모 테이블 내용 출력하기
print('부모 테이블: ', end='')
for i in range(1, v + 1):
print(parent[i], end=' ')
서로소 집합 자료구조: 경로 압축 (Java)
import java.util.*;
public class Main {
// 노드의 개수(V)와 간선(Union 연산)의 개수(E)
// 노드의 개수는 최대 100,000개라고 가정
public static int v, e;
public static int[] parent = new int[100001]; // 부모 테이블 초기화하기
// 특정 원소가 속한 집합을 찾기
public static int findParent(int x) {
// 루트 노드가 아니라면, 루트 노드를 찾을 때까지 재귀적으로 호출
if (x == parent[x]) return x;
return parent[x] = findParent(parent[x]);
}
// 두 원소가 속한 집합을 합치기
public static void unionParent(int a, int b) {
a = findParent(a);
b = findParent(b);
if (a < b) parent[b] = a;
else parent[a] = b;
}
public static void main(String[] args) {
Scanner sc = new Scanner(System.in);
v = sc.nextInt();
e = sc.nextInt();
// 부모 테이블상에서, 부모를 자기 자신으로 초기화
for (int i = 1; i <= v; i++) {
parent[i] = i;
}
// Union 연산을 각각 수행
for (int i = 0; i < e; i++) {
int a = sc.nextInt();
int b = sc.nextInt();
unionParent(a, b);
}
// 각 원소가 속한 집합 출력하기
System.out.print("각 원소가 속한 집합: ");
for (int i = 1; i <= v; i++) {
System.out.print(findParent(i) + " ");
}
System.out.println();
// 부모 테이블 내용 출력하기
System.out.print("부모 테이블: ");
for (int i = 1; i <= v; i++) {
System.out.print(parent[i] + " ");
}
System.out.println();
}
}
서로소 집합을 활용한 사이클 판별
- 서로소 집합은 무방항 그래프 내에서의 사이클을 판별할 때 사용할 수 있다
- 참고로 방향 그래프에서의 사이클 여부는 DFS를 이용하여 판별할 수 있다
- 사이클 판별 알고리즘은 다음과 같다
- 각 간선을 하나씩 확인하며 두 노드의 루트 노드를 확인한다
- 루트 노드가 서로 다르다면 두 노드에 대하여 합집합(Union) 연산을 수행한다
- 루트 노드가 서로 같다면 사이클(Cycle)이 발생한 것이다
- 그래프에 포함되어 있는 모든 간선에 대하여 1번 과정을 반복한다
- 각 간선을 하나씩 확인하며 두 노드의 루트 노드를 확인한다
서로소 집합을 활용한 사이클 판별: 동작 과정 살펴보기
- [초기 단계] 모든 노드에 대하여 자기 자신을 부모로 설정하는 형태로 부모 테이블을 초기화한다

- [Step 1] 간선 (1,2)를 확인한다. 노드 1과 노드 2의 루트 노드는 각각 1과 2이다. 따라서 더 큰 번호에
해당하는 노드 2의 부모 노드를 1로 변경한다

- [Step 2] 간선 (1,3)을 확인한다. 노드 1과 노드 3의 루트 노드는 각각 1과 3이다. 따라서 더 큰 번호에
해당하는 노드 3의 부모 노드를 1로 변경한다

- [Step 3] 간선 (2,3)을 확인한다. 이미 노드 2과 노드 3의 루트 노드는 모두 1이다. 다시 말해
사이클이 발생한다는 것을 알 수 있다

서로소 집합을 활용한 사이클 판별 (Python)
# 특정 원소가 속한 집합을 찾기
def find_parent(parent, x):
# 루트 노드가 아니라면, 루트 노드를 찾을 때까지 재귀적으로 호출
if parent[x] != x:
parent[x] = find_parent(parent, parent[x])
return parent[x]
# 두 원소가 속한 집합을 합치기
def union_parent(parent, a, b):
a = find_parent(parent, a)
b = find_parent(parent, b)
if a < b:
parent[b] = a
else:
parent[a] = b
# 노드의 개수와 간선(Union 연산)의 개수 입력 받기
v, e = map(int, input().split())
parent = [0] * (v + 1) # 부모 테이블 초기화하기
# 부모 테이블상에서, 부모를 자기 자신으로 초기화
for i in range(1, v + 1):
parent[i] = i
cycle = False # 사이클 발생 여부
for i in range(e):
a, b = map(int, input().split())
# 사이클이 발생한 경우 종료
if find_parent(parent, a) == find_parent(parent, b):
cycle = True
break
# 사이클이 발생하지 않았다면 합집합(Union) 연산 수행
else:
union_parent(parent, a, b)
if cycle:
print("사이클이 발생했습니다.")
else:
print("사이클이 발생하지 않았습니다.")
서로소 집합을 활용한 사이클 판별 (Java)
import java.util.*;
public class Main {
// 노드의 개수(V)와 간선(Union 연산)의 개수(E)
// 노드의 개수는 최대 100,000개라고 가정
public static int v, e;
public static int[] parent = new int[100001]; // 부모 테이블 초기화하기
// 특정 원소가 속한 집합을 찾기
public static int findParent(int x) {
// 루트 노드가 아니라면, 루트 노드를 찾을 때까지 재귀적으로 호출
if (x == parent[x]) return x;
return parent[x] = findParent(parent[x]);
}
// 두 원소가 속한 집합을 합치기
public static void unionParent(int a, int b) {
a = findParent(a);
b = findParent(b);
if (a < b) parent[b] = a;
else parent[a] = b;
}
public static void main(String[] args) {
Scanner sc = new Scanner(System.in);
v = sc.nextInt();
e = sc.nextInt();
// 부모 테이블상에서, 부모를 자기 자신으로 초기화
for (int i = 1; i <= v; i++) {
parent[i] = i;
}
boolean cycle = false; // 사이클 발생 여부
for (int i = 0; i < e; i++) {
int a = sc.nextInt();
int b = sc.nextInt();
// 사이클이 발생한 경우 종료
if (findParent(a) == findParent(b)) {
cycle = true;
break;
}
// 사이클이 발생하지 않았다면 합집합(Union) 연산 수행
else {
unionParent(a, b);
}
}
if (cycle) {
System.out.println("사이클이 발생했습니다.");
}
else {
System.out.println("사이클이 발생하지 않았습니다.");
}
}
}
신장 트리
- 그래프에서 모든 노드를 포함하면서 사이클이 존재하지 않는 부분 그래프를 의미한다
- 모든 노드가 포함되어 서로 연결되면서 사이클이 존재하지 않는다는 조건은 트리의 조건이기도 하다

최소 신장 트리
- 최소한의 비용으로 구성되는 신장 트리를 찾아야 할 때 어떻게 해야 할까?
- 예를 들어 N개의 도시가 존재하는 상황에서 두 도시 사이에 도로를 놓아 전체 도시가 서로 연결될 수 있게
도로를 설치하는 경우를 생각해 보자- 두 도시 A,B를 선택했을 때 A에서 B로 이동하는 경로가 반드시 존재하도록 도로를 설치한다

크루스칼 알고리즘
- 대표적인 최소 신장 트리 알고리즘이다
- 그리디 알고리즘으로 분류된다
- 구체적인 동작 과정은 다음과 같다
- 간선 데이터를 비용에 따라 오름차순으로 정렬한다
- 간선을 하나씩 확인하며 현재의 간선이 사이클을 발생시키는지 확인한다
- 사이클이 발생하지 않는 경우 최소 신장 트리에 포함시킨다
- 사이클이 발생하는 경우 최소 신장 트리에 포함시키지 않는다
- 모든 간선에 대하여 2번의 과정을 반복한다
크루스칼 알고리즘: 동작 과정 살펴보기
- [초기 단계] 그래프의 모든 간선 정보에 대하여 오름차순 정렬을 수행한다

- [Step 1] 아직 처리하지 않은 간선 중에서 가장 짧은 간선인 (3,4)를 선택하여 처리한다

- [Step 2] 아직 처리하지 않은 간선 중에서 가장 짧은 간선인 (4,7)을 선택하여 처리한다

- [Step 3] 아직 처리하지 않은 간선 중에서 가장 짧은 간선인 (4,6)을 선택하여 처리한다

- [Step 4] 아직 처리하지 않은 간선 중에서 가장 짧은 간선인 (6,7)을 선택하여 처리한다

- [Step 5] 아직 처리하지 않은 간선 중에서 가장 짧은 간선인 (1,2)를 선택하여 처리한다

- [Step 6] 아직 처리하지 않은 간선 중에서 가장 짧은 간선인 (2,6)을 선택하여 처리한다

- [Step 7] 아직 처리하지 않은 간선 중에서 가장 짧은 간선인 (2,3)을 선택하여 처리한다

- [Step 8] 아직 처리하지 않은 간선 중에서 가장 짧은 간선인 (5,6)을 선택하여 처리한다

- [Step 9] 아직 처리하지 않은 간선 중에서 가장 짧은 간선인 (1,5)를 선택하여 처리한다

- [알고리즘 수행 결과]
- 최소 신장 트리에 포함되어 있는 간선의 비용만 모두 더하면, 그 값이 최종 비용에 해당한다

크루스칼 알고리즘 (Python)
# 특정 원소가 속한 집합을 찾기
def find_parent(parent, x):
# 루트 노드가 아니라면, 루트 노드를 찾을 때까지 재귀적으로 호출
if parent[x] != x:
parent[x] = find_parent(parent, parent[x])
return parent[x]
# 두 원소가 속한 집합을 합치기
def union_parent(parent, a, b):
a = find_parent(parent, a)
b = find_parent(parent, b)
if a < b:
parent[b] = a
else:
parent[a] = b
# 노드의 개수와 간선(Union 연산)의 개수 입력 받기
v, e = map(int, input().split())
parent = [0] * (v + 1) # 부모 테이블 초기화하기
# 모든 간선을 담을 리스트와, 최종 비용을 담을 변수
edges = []
result = 0
# 부모 테이블상에서, 부모를 자기 자신으로 초기화
for i in range(1, v + 1):
parent[i] = i
# 모든 간선에 대한 정보를 입력 받기
for _ in range(e):
a, b, cost = map(int, input().split())
# 비용순으로 정렬하기 위해서 튜플의 첫 번째 원소를 비용으로 설정
edges.append((cost, a, b))
# 간선을 비용순으로 정렬
edges.sort()
# 간선을 하나씩 확인하며
for edge in edges:
cost, a, b = edge
# 사이클이 발생하지 않는 경우에만 집합에 포함
if find_parent(parent, a) != find_parent(parent, b):
union_parent(parent, a, b)
result += cost
print(result)
크루스칼 알고리즘 (Java)
import java.util.*;
public class Main {
// 노드의 개수(V)와 간선의 개수(E)
// 노드의 개수는 최대 100,000개라고 가정
public static int v, e;
// 모든 노드에 대한 진입차수는 0으로 초기화
public static int[] indegree = new int[100001];
// 각 노드에 연결된 간선 정보를 담기 위한 연결 리스트 초기화
public static ArrayList<ArrayList<Integer>> graph = new ArrayList<ArrayList<Integer>>();
// 위상 정렬 함수
public static void topologySort() {
ArrayList<Integer> result = new ArrayList<>(); // 알고리즘 수행 결과를 담을 리스트
Queue<Integer> q = new LinkedList<>(); // 큐 라이브러리 사용
// 처음 시작할 때는 진입차수가 0인 노드를 큐에 삽입
for (int i = 1; i <= v; i++) {
if (indegree[i] == 0) {
q.offer(i);
}
}
// 큐가 빌 때까지 반복
while (!q.isEmpty()) {
// 큐에서 원소 꺼내기
int now = q.poll();
result.add(now);
// 해당 원소와 연결된 노드들의 진입차수에서 1 빼기
for (int i = 0; i < graph.get(now).size(); i++) {
indegree[graph.get(now).get(i)] -= 1;
// 새롭게 진입차수가 0이 되는 노드를 큐에 삽입
if (indegree[graph.get(now).get(i)] == 0) {
q.offer(graph.get(now).get(i));
}
}
}
// 위상 정렬을 수행한 결과 출력
for (int i = 0; i < result.size(); i++) {
System.out.print(result.get(i) + " ");
}
}
public static void main(String[] args) {
Scanner sc = new Scanner(System.in);
v = sc.nextInt();
e = sc.nextInt();
// 그래프 초기화
for (int i = 0; i <= v; i++) {
graph.add(new ArrayList<Integer>());
}
// 방향 그래프의 모든 간선 정보를 입력 받기
for (int i = 0; i < e; i++) {
int a = sc.nextInt();
int b = sc.nextInt();
graph.get(a).add(b); // 정점 A에서 B로 이동 가능
// 진입 차수를 1 증가
indegree[b] += 1;
}
topologySort();
}
}
크루스칼 알고리즘 성능 분석
- 크루스칼 알고리즘은 간선의 개수가 E개일 때, O(ElogE) 의 시간 복잡도를 가진다
- 크루스칼 알고리즘에서 가장 많은 시간을 요구하는 곳은 간선의 정렬을 수행하는 부분이다
- 표준 라이브러리를 이용해 𝐸개의 데이터를 정렬하기 위한 시간 복잡도는 O(ElogE) 이다
위상 정렬
- 사이클이 없는 방향 그래프의 모든 노드를 방향성에 거스르지 않도록 순서대로 나열하는 것을 의미
- 예시) 선수과목을 고려한 학습 순서 설정

- 위 세 과목을 모두 듣기 위한 적절한 학습 순서는?
- 자료구조 → 알고리즘 → 고급 알고리즘 (O)
- 자료구조 → 고급 알고리즘 → 알고리즘 (X)
진입차수와 진출차수
- 진입차수(Indegree): 특정한 노드로 들어오는 간선의 개수
- 진출차수(Outdegree): 특정한 노드에서 나가는 간선의 개수

위상 정렬 알고리즘
- 큐를 이용하는 위상 정렬 알고리즘의 동작 과정은 다음과 같다
- 진입차수가 0인 모든 노드를 큐에 넣는다
- 큐가 빌 때까지 다음의 과정을 반복한다
- 큐에서 원소를 꺼내 해당 노드에서 나가는 간선을 그래프에서 제거한다
- 새롭게 진입차수가 0이 된 노드를 큐에 넣는다
=> 결과 적으로 각 노드가 큐에 들어온 순서가 위상 정렬을 수행한 결과와 같다
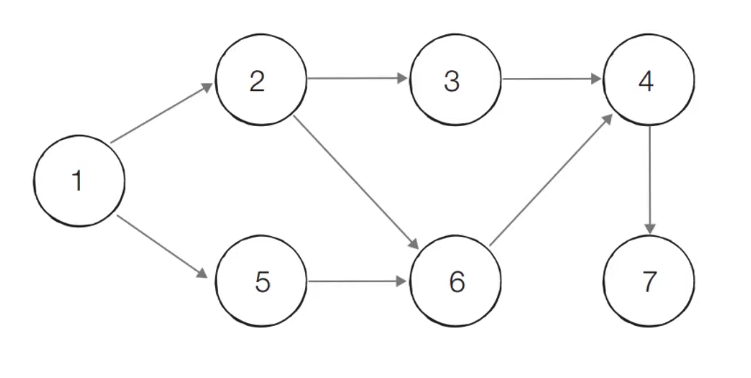
위상 정렬 동작 예시
- 위상 정렬을 수행할 그래프를 준비한다
- 이때 그래프는 사이클이 없는 방향 그래프 (DAG)여야 한다

- [초기 단계] 초기 단계에서는 진입차수가 0인 모든 노드를 큐에 넣는다
- 처음에 노드 1이 큐에 삽입된다

- [Step 1] 큐에서 노드 1을 꺼낸 뒤에 노드 1에서 나가는 간선을 제거한다
- 새롭게 진입차수가 0이 된 노드들을 큐에 삽입한다

- [Step 2] 큐에서 노드 2를 꺼낸 뒤에 노드 2에서 나가는 간선을 제거한다
- 새롭게 진입차수가 0이 된 노드들을 큐에 삽입한다

- [Step 3] 큐에서 노드 5를 꺼낸 뒤에 노드 5에서 나가는 간선을 제거한다
- 새롭게 진입차수가 0이 된 노드들을 큐에 삽입한다

- [Step 4] 큐에서 노드 3를 꺼낸 뒤에 노드 3에서 나가는 간선을 제거한다
- 새롭게 진입차수가 0이 된 노드들을 큐에 삽입한다

- [Step 5] 큐에서 노드 6을 꺼낸 뒤에 노드 6에서 나가는 간선을 제거한다
- 새롭게 진입차수가 0이 된 노드들을 큐에 삽입한다

- [Step 6] 큐에서 노드 4를 꺼낸 뒤에 노드 4에서 나가는 간선을 제거한다
- 새롭게 진입차수가 0이 된 노드들을 큐에 삽입한다

- [Step 7] 큐에서 노드 7을 꺼낸 뒤에 노드 7에서 나가는 간선을 제거한다
- 새롭게 진입차수가 0이 된 노드들을 큐에 삽입한다

- [위상 정렬 결과]
- 큐에 삽입된 전체 노드 순서: 1 → 2 → 5 → 3 → 6 → 4 → 7

위상 정렬의 특징
- 위상 정렬은 DAG에 대해서만 수행할 수 있다
- DAG (Direct Acyclic Graph): 순환하지 않는 방향 그래프
- 위상 정렬에서는 여러 가지 답이 존재할 수 있다
- 한 단계에서 큐에 새롭게 들어가는 원소가 2개 이상인 경우가 있다면 여러 가지 답이 존재한다
- 모든 원소를 방문하기 전에 큐가 빈다면 사이클이 존재한다고 판단할 수 있다
- 사이클에 포함된 원소 중에서 어떠한 원소도 큐에 들어가지 못한다
- 스택을 활용한 DFS를 이용해 위상 정렬을 수행할 수도 있다
위상 정렬 알고리즘 (Python)
from collections import deque
# 노드의 개수와 간선의 개수를 입력 받기
v, e = map(int, input().split())
# 모든 노드에 대한 진입차수는 0으로 초기화
indegree = [0] * (v + 1)
# 각 노드에 연결된 간선 정보를 담기 위한 연결 리스트 초기화
graph = [[] for i in range(v + 1)]
# 방향 그래프의 모든 간선 정보를 입력 받기
for _ in range(e):
a, b = map(int, input().split())
graph[a].append(b) # 정점 A에서 B로 이동 가능
# 진입 차수를 1 증가
indegree[b] += 1
# 위상 정렬 함수
def topology_sort():
result = [] # 알고리즘 수행 결과를 담을 리스트
q = deque() # 큐 기능을 위한 deque 라이브러리 사용
# 처음 시작할 때는 진입차수가 0인 노드를 큐에 삽입
for i in range(1, v + 1):
if indegree[i] == 0:
q.append(i)
# 큐가 빌 때까지 반복
while q:
# 큐에서 원소 꺼내기
now = q.popleft()
result.append(now)
# 해당 원소와 연결된 노드들의 진입차수에서 1 빼기
for i in graph[now]:
indegree[i] -= 1
# 새롭게 진입차수가 0이 되는 노드를 큐에 삽입
if indegree[i] == 0:
q.append(i)
# 위상 정렬을 수행한 결과 출력
for i in result:
print(i, end=' ')
topology_sort()
입력 예시
7 8
1 2
1 5
2 3
2 6
3 4
4 7
5 6
6 4
출력 예시
1 2 5 3 6 4 7
위상 정렬 알고리즘 (Java)
import java.util.*;
public class Main {
// 노드의 개수(V)와 간선의 개수(E)
// 노드의 개수는 최대 100,000개라고 가정
public static int v, e;
// 모든 노드에 대한 진입차수는 0으로 초기화
public static int[] indegree = new int[100001];
// 각 노드에 연결된 간선 정보를 담기 위한 연결 리스트 초기화
public static ArrayList<ArrayList<Integer>> graph = new ArrayList<ArrayList<Integer>>();
// 위상 정렬 함수
public static void topologySort() {
ArrayList<Integer> result = new ArrayList<>(); // 알고리즘 수행 결과를 담을 리스트
Queue<Integer> q = new LinkedList<>(); // 큐 라이브러리 사용
// 처음 시작할 때는 진입차수가 0인 노드를 큐에 삽입
for (int i = 1; i <= v; i++) {
if (indegree[i] == 0) {
q.offer(i);
}
}
// 큐가 빌 때까지 반복
while (!q.isEmpty()) {
// 큐에서 원소 꺼내기
int now = q.poll();
result.add(now);
// 해당 원소와 연결된 노드들의 진입차수에서 1 빼기
for (int i = 0; i < graph.get(now).size(); i++) {
indegree[graph.get(now).get(i)] -= 1;
// 새롭게 진입차수가 0이 되는 노드를 큐에 삽입
if (indegree[graph.get(now).get(i)] == 0) {
q.offer(graph.get(now).get(i));
}
}
}
// 위상 정렬을 수행한 결과 출력
for (int i = 0; i < result.size(); i++) {
System.out.print(result.get(i) + " ");
}
}
public static void main(String[] args) {
Scanner sc = new Scanner(System.in);
v = sc.nextInt();
e = sc.nextInt();
// 그래프 초기화
for (int i = 0; i <= v; i++) {
graph.add(new ArrayList<Integer>());
}
// 방향 그래프의 모든 간선 정보를 입력 받기
for (int i = 0; i < e; i++) {
int a = sc.nextInt();
int b = sc.nextInt();
graph.get(a).add(b); // 정점 A에서 B로 이동 가능
// 진입 차수를 1 증가
indegree[b] += 1;
}
topologySort();
}
}
위상 정렬 알고리즘 성능 분석
- 위상 정렬을 위해 차례대로 모든 노드를 확인하며 각 노드에서 나가는 간선을 차레대로 제거해야 한다
- 위상 정렬 알고리즘의 시간 복잡도는 O(V + E) 이다
728x90
'CodingTest' 카테고리의 다른 글
| [이것이 코딩 테스트다] 10. 개발형 코딩 테스트 (0) | 2020.10.11 |
|---|---|
| [이것이 코딩 테스트다] 9. 기타 알고리즘 (0) | 2020.10.10 |
| [이것이 코딩 테스트다] 7. 최단 경로 알고리즘 (0) | 2020.10.10 |
| [이것이 코딩 테스트다] 6. 다이나믹 프로그래밍 (0) | 2020.10.04 |
| [이것이 코딩 테스트다] 5. 이진 탐색 (0) | 2020.10.04 |
댓글