728x90
https://www.youtube.com/watch?v=W1SO2e5IaSo&list=PLVsNizTWUw7H9_of5YCB0FmsSc-K44y81&index=11
실전에서 유용한 표준 라이브러리
- 내장 함수: 기본 입출력 함수 부터 정렬 함수까지 기본적인 함수들을 제공
- 파이썬 프로그램을 작성할 때 없어서는 안 되는 필수적인 기능을 포함하고 있음
- itertools: 파이썬에서 반복되는 형태의 데이터를 처리하기 위한 유용한 기능들을 제공
- 특히 순열의 조합 라이브러리는 코딩 테스트에서 자주 사용됨
- heapq: 힙(Heap) 자료구조를 제공
- 일반적으로 우선순위 큐 기능을 구현하기 위해 사용
- bisect: 이진 탐색(Binary Search) 기능을 제공
- collections: 덱(deque), 카운터(Counter) 등의 유용한 자료구조를 포함
- math: 필수적인 수학적 기능을 제공함
- 팩토리얼, 제곱근, 최대공약수(GCD), 삼각함수 관련 함수부터 파이(pi)와 같은 상수를 포함
자주 사용되는 내장함수
# sum()
result = sum([1, 2, 3, 4, 5])
print(result)
# min(), max()
min_result = min(7, 3, 5, 2)
max_result = max(7, 3, 5, 2)
print(min_result, max_result)
# eval()
result = eval("(3+5)*7")
print(result)
실행 결과
15
2 7
56
# sorted()
result = sorted([9, 1, 8, 5, 4])
reverse_result = sorted([9, 1, 8, 5, 4], reverse=True)
print(result)
print(reverse_result)
# sorted() with key
array = [('홍길동', 35), ('이순신', 75), ('아무개', 50)]
result = sorted(array, key=lambda x: x[1], reverse=True)
print(result)
실행 결과
[1, 4, 5, 8, 9]
[9, 8, 5, 4, 1]
[('이순신', 75), ('아무개', 50), ('홍길동', 35)]
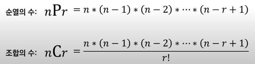
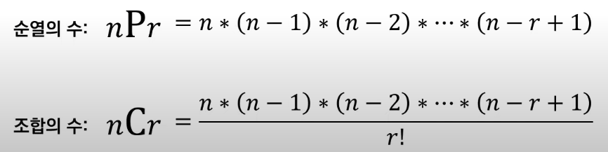
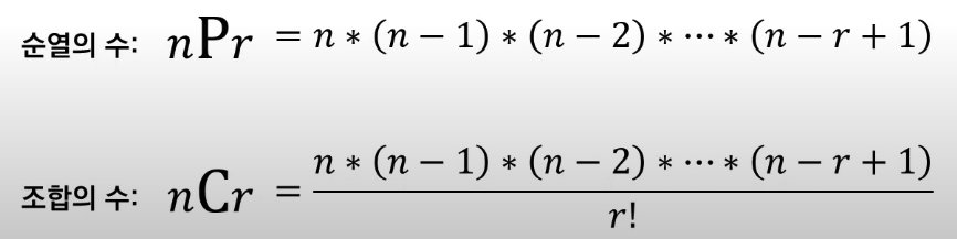
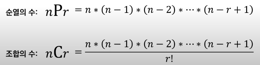
순열과 조합
-
모든 경우의 수를 고려해야 할 때 어떤 라이브러리를 효과적으로 사용할 수 있을까?
-
순열: 서로 다른 𝑛개에서 서로 다른 𝑟개를 선택하여 일렬로 나열하는 것
- {'A', 'B', 'C'}에서 세 개를 선택하여 나열하는 경우: 'ABC', 'ACB', 'BAC', 'BCA', 'CAB', 'CBA'
from itertools import permutations data = ['A', 'B', 'C'] # 데이터 준비 result = list(permutations(data, 3)) # 모든 순열 구하기 print(result)실행 결과
[('A', 'B', 'C'), ('A', 'C', 'B'), ('B', 'A', 'C'), ('B', 'C', 'A'), ('C', 'A', 'B'), ('C', 'B', 'A')] -
조합: 서로 다른 𝑛개에서 순서에 상관 없이 서로 다른 𝑟개를 선택하는 것
- {'A', 'B', 'C'}에서 순서를 고려하지 않고 두 개를 뽑는 경우: 'AB', 'AC', 'BC'
from itertools import combinations data = ['A', 'B', 'C'] # 데이터 준비 result = list(combinations(data, 2)) # 2개를 뽑는 모든 조합 구하기 print(result)실행 결과
[('A', 'B'), ('A', 'C'), ('B', 'C')]

중복 순열과 중복 조합
# 중복 순열
from itertools import product
data = ['A', 'B', 'C'] # 데이터 준비
result = list(product(data, repeat=2)) # 2개를 뽑는 모든 순열 구하기 (중복 허용)
print('> 2개를 뽑는 모든 순열 구하기 (중복 허용)')
print(result)
# 중복 조합
from itertools import combinations_with_replacement
data = ['A', 'B', 'C'] # 데이터 준비
result = list(combinations_with_replacement(data, 2)) # 2개를 뽑는 모든 조합 구하기 (중복 허용)
print('> 2개를 뽑는 모든 조합 구하기 (중복 허용)')
print(result)
실행 결과
> 2개를 뽑는 모든 순열 구하기 (중복 허용)
[('A', 'A'), ('A', 'B'), ('A', 'C'), ('B', 'A'), ('B', 'B'), ('B', 'C'), ('C', 'A'), ('C', 'B'), ('C', 'C')]
> 2개를 뽑는 모든 조합 구하기 (중복 허용)
[('A', 'A'), ('A', 'B'), ('A', 'C'), ('B', 'B'), ('B', 'C'), ('C', 'C')]
Counter
- 파이썬
collections라이브러리의 Counter는 등장 횟수를 세는 기능을 제공함 - 리스트와 같은 반복 가능한(iterable) 객체가 주어졌을 때 내부의 원소가 몇 번씩 등장했는지를 알려줌
from collections import Counter
counter = Counter(['red', 'blue', 'red', 'green', 'blue', 'blue'])
print(counter['blue']) # 'blue'가 등장한 횟수 출력
print(counter['green']) # 'green'이 등장한 횟수 출력
print(dict(counter)) # 사전 자료형으로 반환
실행 결과
3
1
{'red': 2, 'blue': 3, 'green': 1}
최대 공약수와 최소 공배수
- 최대 공약수를 구해야 할 때는
math라이브러리의gcd()함수를 이용할 수 있음
import math
# 최소 공배수(LCM)를 구하는 함수
def lcm(a, b):
return a * b // math.gcd(a, b)
a = 21
b = 14
print(math.gcd(21, 14)) # 최대 공약수(GCD) 계산
print(lcm(21, 14)) # 최소 공배수(LCM) 계산
실행 결과
7
42728x90
'CodingTest' 카테고리의 다른 글
| [이것이 코딩 테스트다 with Python] 13강 그리디 알고리즘 유형 문제 풀이 (0) | 2021.01.04 |
|---|---|
| [이것이 코딩 테스트다 with Python] 12강 그리디 알고리즘 개요 (0) | 2021.01.04 |
| [이것이 코딩 테스트다 with Python] 10강 파이썬 문법: 함수와 람다 표현식 (0) | 2021.01.04 |
| [이것이 코딩 테스트다 with Python] 9강 파이썬 문법: 반복문 (0) | 2021.01.04 |
| [이것이 코딩 테스트다 with Python] 8강 파이썬 문법: 조건문 (0) | 2021.01.04 |
댓글