728x90
4https://www.youtube.com/watch?v=xeSz3pROPS8&list=PLVsNizTWUw7H9_of5YCB0FmsSc-K44y81&index=36
위상 정렬
- 사이클이 없는 방향 그래프의 모든 노드를 방향성에 거스르지 않도록 순서대로 나열하는 것을 의미
- 예시) 선수과목을 고려한 학습 순서 설정

- 위 세 과목을 모두 듣기 위한 적절한 학습 순서는?
- 자료구조 → 알고리즘 → 고급 알고리즘 (O)
- 자료구조 → 고급 알고리즘 → 알고리즘 (X)
진입차수와 진출차수
- 진입차수(Indegree): 특정한 노드로 들어오는 간선의 개수
- 진출차수(Outdegree): 특정한 노드에서 나가는 간선의 개수

위상 정렬 알고리즘
- 큐를 이용하는 위상 정렬 알고리즘의 동작 과정은 다음과 같다
- 진입차수가 0인 모든 노드를 큐에 넣는다
- 큐가 빌 때까지 다음의 과정을 반복한다
- 큐에서 원소를 꺼내 해당 노드에서 나가는 간선을 그래프에서 제거한다
- 새롭게 진입차수가 0이 된 노드를 큐에 넣는다
=> 결과 적으로 각 노드가 큐에 들어온 순서가 위상 정렬을 수행한 결과와 같다
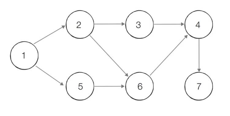
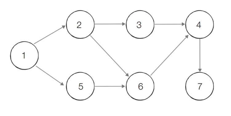
위상 정렬 동작 예시
- 위상 정렬을 수행할 그래프를 준비한다
- 이때 그래프는 사이클이 없는 방향 그래프 (DAG)여야 한다

- [초기 단계] 초기 단계에서는 진입차수가 0인 모든 노드를 큐에 넣는다
- 처음에 노드 1이 큐에 삽입된다

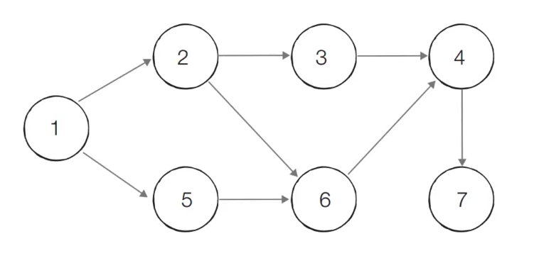
- [Step 1] 큐에서 노드 1을 꺼낸 뒤에 노드 1에서 나가는 간선을 제거한다
- 새롭게 진입차수가 0이 된 노드들을 큐에 삽입한다

- [Step 2] 큐에서 노드 2를 꺼낸 뒤에 노드 2에서 나가는 간선을 제거한다
- 새롭게 진입차수가 0이 된 노드들을 큐에 삽입한다

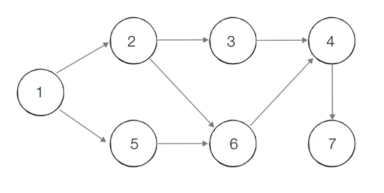
- [Step 3] 큐에서 노드 5를 꺼낸 뒤에 노드 5에서 나가는 간선을 제거한다
- 새롭게 진입차수가 0이 된 노드들을 큐에 삽입한다

- [Step 4] 큐에서 노드 3를 꺼낸 뒤에 노드 3에서 나가는 간선을 제거한다
- 새롭게 진입차수가 0이 된 노드들을 큐에 삽입한다

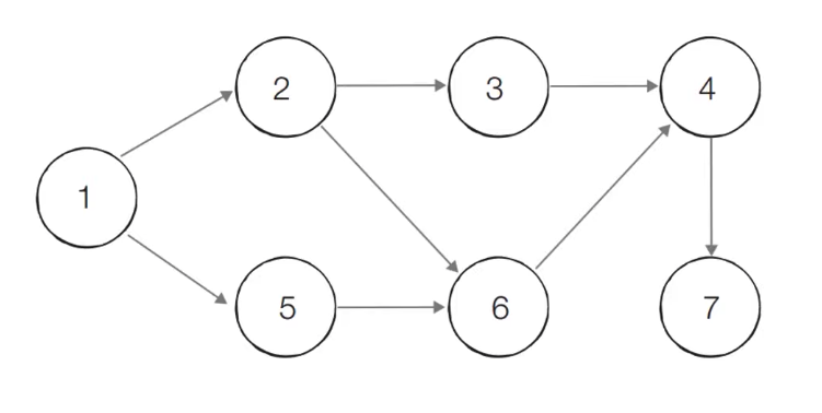
- [Step 5] 큐에서 노드 6을 꺼낸 뒤에 노드 6에서 나가는 간선을 제거한다
- 새롭게 진입차수가 0이 된 노드들을 큐에 삽입한다

- [Step 6] 큐에서 노드 4를 꺼낸 뒤에 노드 4에서 나가는 간선을 제거한다
- 새롭게 진입차수가 0이 된 노드들을 큐에 삽입한다

- [Step 7] 큐에서 노드 7을 꺼낸 뒤에 노드 7에서 나가는 간선을 제거한다
- 새롭게 진입차수가 0이 된 노드들을 큐에 삽입한다

- [위상 정렬 결과]
- 큐에 삽입된 전체 노드 순서: 1 → 2 → 5 → 3 → 6 → 4 → 7

위상 정렬의 특징
- 위상 정렬은 DAG에 대해서만 수행할 수 있다
- DAG (Direct Acyclic Graph): 순환하지 않는 방향 그래프
- 위상 정렬에서는 여러 가지 답이 존재할 수 있다
- 한 단계에서 큐에 새롭게 들어가는 원소가 2개 이상인 경우가 있다면 여러 가지 답이 존재한다
- 모든 원소를 방문하기 전에 큐가 빈다면 사이클이 존재한다고 판단할 수 있다
- 사이클에 포함된 원소 중에서 어떠한 원소도 큐에 들어가지 못한다
- 스택을 활용한 DFS를 이용해 위상 정렬을 수행할 수도 있다
위상 정렬 알고리즘 (Python)
from collections import deque
# 노드의 개수와 간선의 개수를 입력 받기
v, e = map(int, input().split())
# 모든 노드에 대한 진입차수는 0으로 초기화
indegree = [0] * (v + 1)
# 각 노드에 연결된 간선 정보를 담기 위한 연결 리스트 초기화
graph = [[] for i in range(v + 1)]
# 방향 그래프의 모든 간선 정보를 입력 받기
for _ in range(e):
a, b = map(int, input().split())
graph[a].append(b) # 정점 A에서 B로 이동 가능
# 진입 차수를 1 증가
indegree[b] += 1
# 위상 정렬 함수
def topology_sort():
result = [] # 알고리즘 수행 결과를 담을 리스트
q = deque() # 큐 기능을 위한 deque 라이브러리 사용
# 처음 시작할 때는 진입차수가 0인 노드를 큐에 삽입
for i in range(1, v + 1):
if indegree[i] == 0:
q.append(i)
# 큐가 빌 때까지 반복
while q:
# 큐에서 원소 꺼내기
now = q.popleft()
result.append(now)
# 해당 원소와 연결된 노드들의 진입차수에서 1 빼기
for i in graph[now]:
indegree[i] -= 1
# 새롭게 진입차수가 0이 되는 노드를 큐에 삽입
if indegree[i] == 0:
q.append(i)
# 위상 정렬을 수행한 결과 출력
for i in result:
print(i, end=' ')
topology_sort()
입력 예시
7 8
1 2
1 5
2 3
2 6
3 4
4 7
5 6
6 4
출력 예시
1 2 5 3 6 4 7
위상 정렬 알고리즘 (Java)
import java.util.*;
public class Main {
// 노드의 개수(V)와 간선의 개수(E)
// 노드의 개수는 최대 100,000개라고 가정
public static int v, e;
// 모든 노드에 대한 진입차수는 0으로 초기화
public static int[] indegree = new int[100001];
// 각 노드에 연결된 간선 정보를 담기 위한 연결 리스트 초기화
public static ArrayList<ArrayList<Integer>> graph = new ArrayList<ArrayList<Integer>>();
// 위상 정렬 함수
public static void topologySort() {
ArrayList<Integer> result = new ArrayList<>(); // 알고리즘 수행 결과를 담을 리스트
Queue<Integer> q = new LinkedList<>(); // 큐 라이브러리 사용
// 처음 시작할 때는 진입차수가 0인 노드를 큐에 삽입
for (int i = 1; i <= v; i++) {
if (indegree[i] == 0) {
q.offer(i);
}
}
// 큐가 빌 때까지 반복
while (!q.isEmpty()) {
// 큐에서 원소 꺼내기
int now = q.poll();
result.add(now);
// 해당 원소와 연결된 노드들의 진입차수에서 1 빼기
for (int i = 0; i < graph.get(now).size(); i++) {
indegree[graph.get(now).get(i)] -= 1;
// 새롭게 진입차수가 0이 되는 노드를 큐에 삽입
if (indegree[graph.get(now).get(i)] == 0) {
q.offer(graph.get(now).get(i));
}
}
}
// 위상 정렬을 수행한 결과 출력
for (int i = 0; i < result.size(); i++) {
System.out.print(result.get(i) + " ");
}
}
public static void main(String[] args) {
Scanner sc = new Scanner(System.in);
v = sc.nextInt();
e = sc.nextInt();
// 그래프 초기화
for (int i = 0; i <= v; i++) {
graph.add(new ArrayList<Integer>());
}
// 방향 그래프의 모든 간선 정보를 입력 받기
for (int i = 0; i < e; i++) {
int a = sc.nextInt();
int b = sc.nextInt();
graph.get(a).add(b); // 정점 A에서 B로 이동 가능
// 진입 차수를 1 증가
indegree[b] += 1;
}
topologySort();
}
}
위상 정렬 알고리즘 성능 분석
- 위상 정렬을 위해 차례대로 모든 노드를 확인하며 각 노드에서 나가는 간선을 차레대로 제거해야 한다
- 위상 정렬 알고리즘의 시간 복잡도는 O(V + E) 이다
728x90
'CodingTest' 카테고리의 다른 글
| [이것이 코딩 테스트다 with Python] 38강 에라토스테네스의 체 (0) | 2021.01.04 |
|---|---|
| [이것이 코딩 테스트다 with Python] 37강 소수 판별 알고리즘 (0) | 2021.01.04 |
| [이것이 코딩 테스트다 with Python] 35강 크루스칼 알고리즘 (0) | 2021.01.04 |
| [이것이 코딩 테스트다 with Python] 34강 서로소 집합을 활용한 사이클 판별 (0) | 2021.01.04 |
| [이것이 코딩 테스트다 with Python] 33강 서로소 집합 자료구조 (0) | 2021.01.04 |
댓글