728x90
https://www.youtube.com/watch?v=1vLqC1rItM8&list=PLVsNizTWUw7H9_of5YCB0FmsSc-K44y81&index=18
DFS (Depth-First Search)
- DFS는 깊이 우선 탐색이라고도 부르며 그래프에서 깊은 부분을 우선적으로 탐색하는 알고리즘이다
- DFS는 스택 자료구조(혹은 재귀 함수)를 이용하며, 구체적인 동작 과정은 다음과 같다
- 탐색 시작 노드를 스택에 삽입하고 방문 처리를 한다
- 스택의 최상단 노드에 방문하지 않은 인접한 노드가 하나라도 있으면 그 노드를 스택에 넣고 방문 처리한다
방문하지 않은 인접 노드가 없으면 스택에서 최상단 노드를 꺼낸다 - 더 이상 2번의 과정을 수행할 수 없을 때까지 반복한다
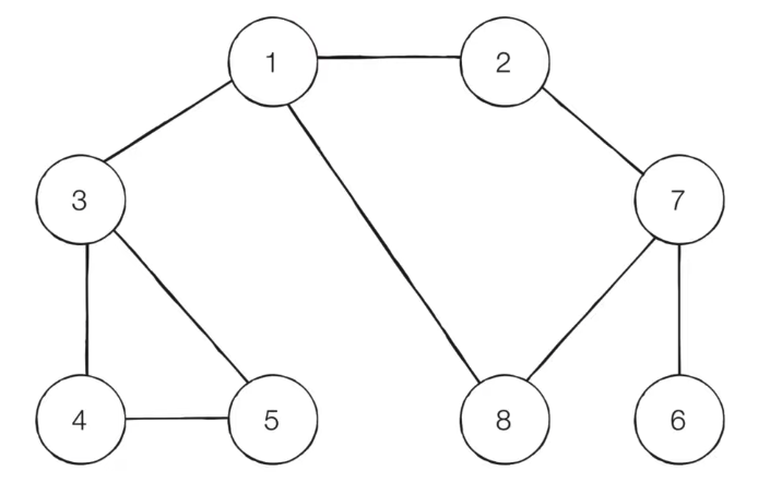
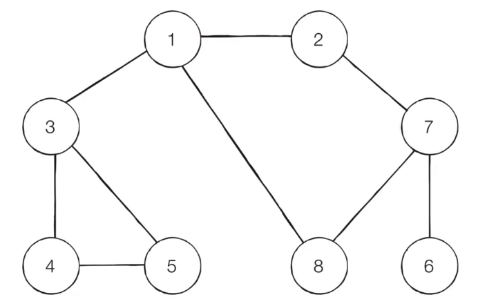
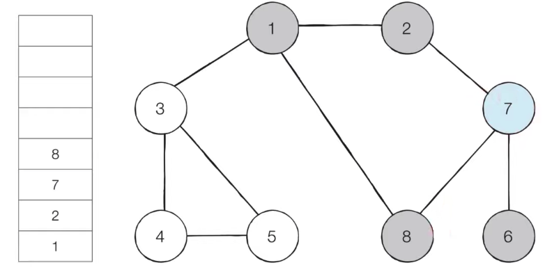
DFS 동작 예시
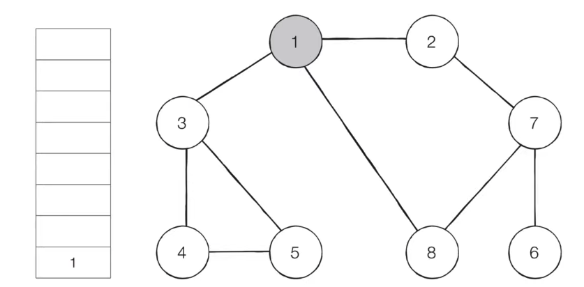
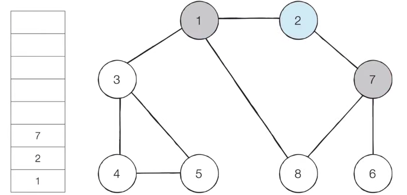
- [Step 0] 그래프를 준비한다 (방문 기준: 번호가 낮은 인접 노드 부터)
- 시작 노드: 1

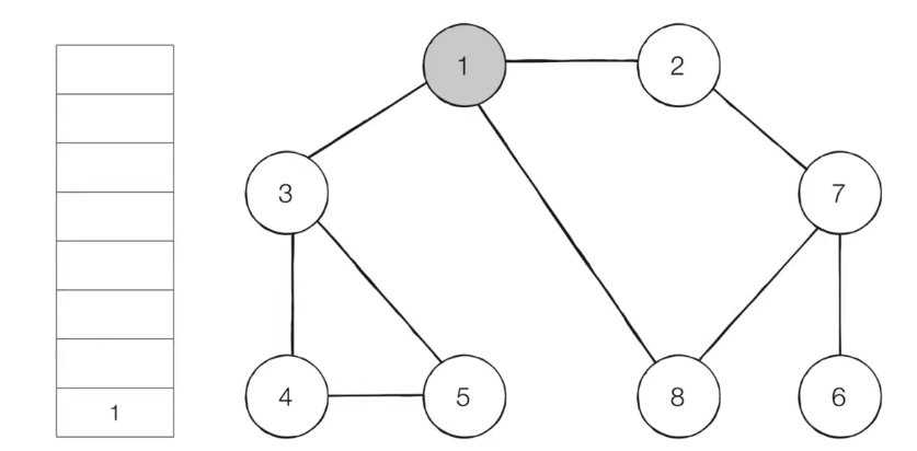
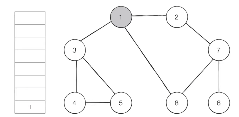
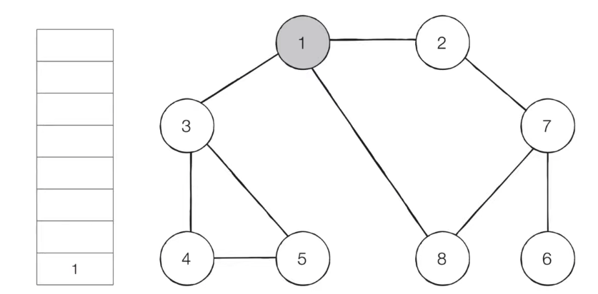
- [Step 1] 시작 노드인 '1'을 스택에 삽입하고 방문 처리 한다

- [Step 2] 스택의 최상단 노드인 '1'에 방문하지 않은 인접 노드 '2', '3', '8'이 있다
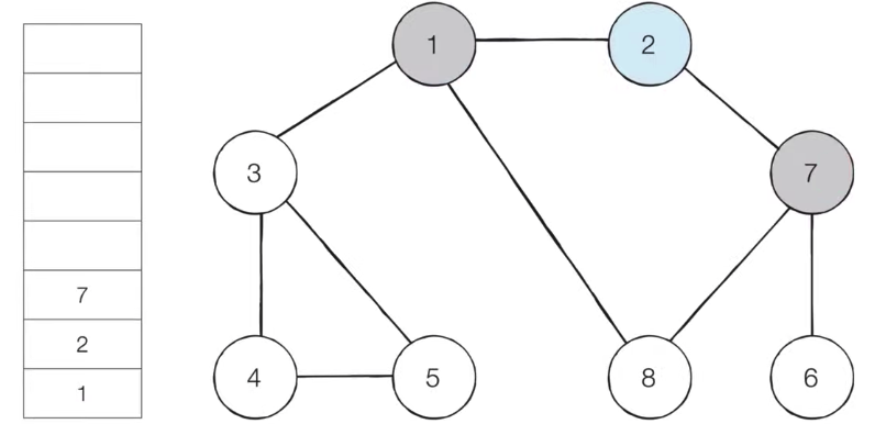
- 이 중에서 가장 작은 노드인 '2'를 스택에 넣고 방문 처리를 한다

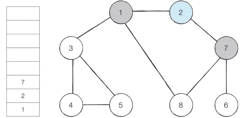
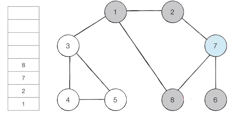
- [Step 3] 스택의 최상단 노드인 '2'에 방문하지 않은 인접 노드 '7'이 있다
- 따라서 '7'번 노드를 스택에 넣고 방문 처리를 한다

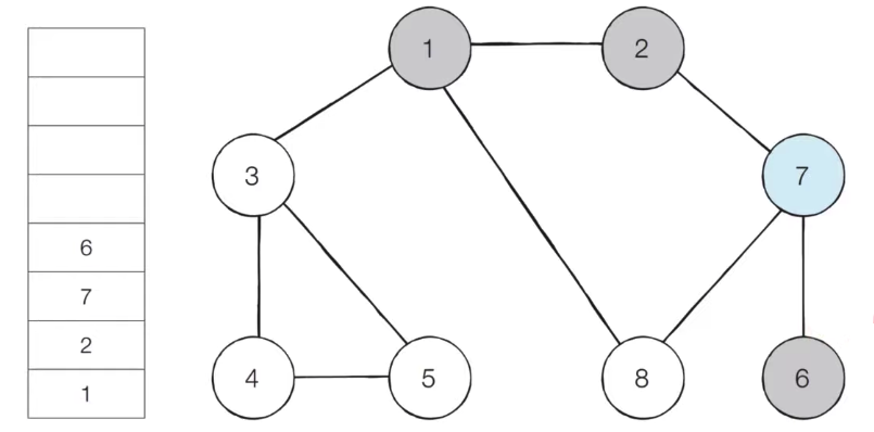
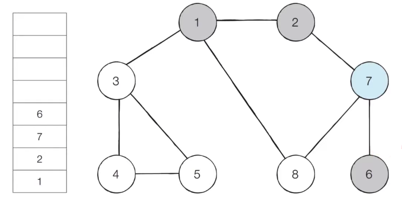
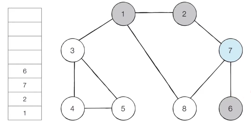
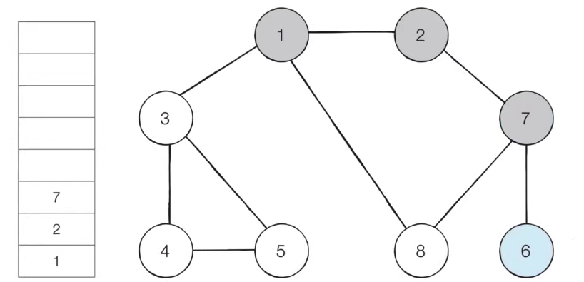
- [Step 4] 스택의 최상단 노드인 '7'에 방문하지 않은 인접 노드 '6', '8'이 있다
- 이 중에서 가장 작은 노드인 '6'을 스택에 넣고 방문 처리를 한다

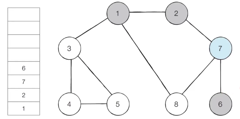
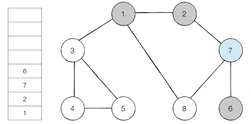
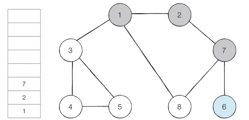
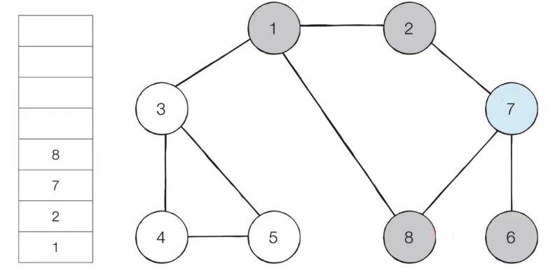
- [Step 5] 스택의 최상단 노드인 '6'에 방문하지 않은 인접 노드가 없다
- 따라서 스택에서 '6'번 노드를 꺼낸다

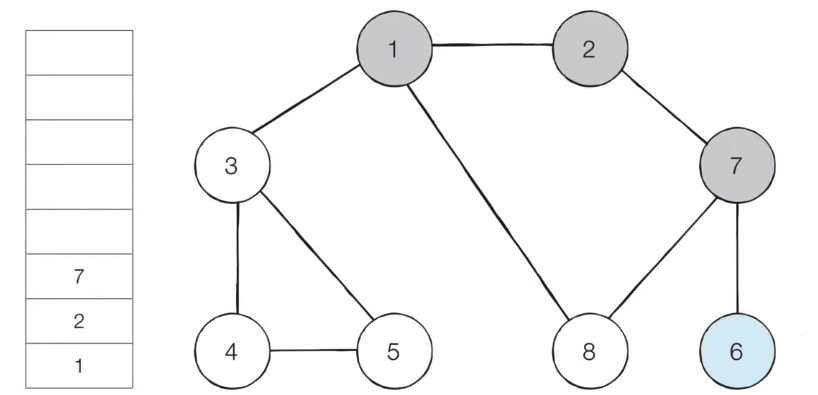
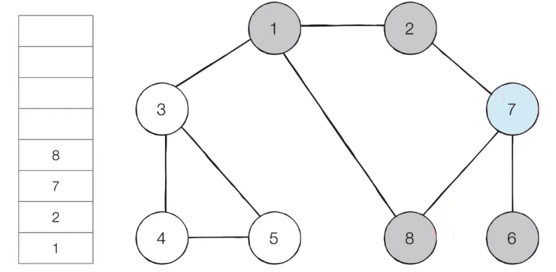
- [Step 6] 스택의 최상단 노드인 '7'에 방문하지 않은 인접 노드 '8'이 있다
- 따라서 '8'번 노드를 스택에 넣고 방문 처리를 한다

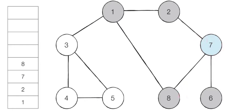
- 이러한 과정을 반복하였을 때 전체 노드의 탐색 순서(스택에 들어간 순서)는 다음과 같다

DFS 소스코드 예제 (Python)
# DFS 함수 정의
def dfs(graph, v, visited):
# 현재 노드를 방문 처리
visited[v] = True
print(v, end=' ')
# 현재 노드와 연결된 다른 노드를 재귀적으로 방문
for i in graph[v]:
if not visited[i]:
dfs(graph, i, visited)
# 각 노드가 연결된 정보를 리스트 자료형으로 표현(2차원 리스트)
graph = [
[],
[2, 3, 8],
[1, 7],
[1, 4, 5],
[3, 5],
[3, 4],
[7],
[2, 6, 8],
[1, 7]
]
# 각 노드가 방문된 정보를 리스트 자료형으로 표현(1차원 리스트)
visited = [False] * 9
# 정의된 DFS 함수 호출
dfs(graph, 1, visited)
실행 결과
1 2 7 6 8 3 4 5
DFS 소스코드 예제 (Java)
import java.util.*;
public class Main {
public static boolean[] visited = new boolean[9];
public static ArrayList<ArrayList<Integer>> graph = new ArrayList<ArrayList<Integer>>();
// DFS 함수 정의
public static void dfs(int x) {
// 현재 노드를 방문 처리
visited[x] = true;
System.out.print(x + " ");
// 현재 노드와 연결된 다른 노드를 재귀적으로 방문
for (int i = 0; i < graph.get(x).size(); i++) {
int y = graph.get(x).get(i);
if (!visited[y]) dfs(y);
}
}
public static void main(String[] args) {
// 그래프 초기화
for (int i = 0; i < 9; i++) {
graph.add(new ArrayList<Integer>());
}
// 노드 1에 연결된 노드 정보 저장
graph.get(1).add(2);
graph.get(1).add(3);
graph.get(1).add(8);
// 노드 2에 연결된 노드 정보 저장
graph.get(2).add(1);
graph.get(2).add(7);
// 노드 3에 연결된 노드 정보 저장
graph.get(3).add(1);
graph.get(3).add(4);
graph.get(3).add(5);
// 노드 4에 연결된 노드 정보 저장
graph.get(4).add(3);
graph.get(4).add(5);
// 노드 5에 연결된 노드 정보 저장
graph.get(5).add(3);
graph.get(5).add(4);
// 노드 6에 연결된 노드 정보 저장
graph.get(6).add(7);
// 노드 7에 연결된 노드 정보 저장
graph.get(7).add(2);
graph.get(7).add(6);
graph.get(7).add(8);
// 노드 8에 연결된 노드 정보 저장
graph.get(8).add(1);
graph.get(8).add(7);
dfs(1);
}
}
실행 결과
1 2 7 6 8 3 4 5728x90
'CodingTest' 카테고리의 다른 글
| [이것이 코딩 테스트다 with Python] 20강 DFS & BFS 기초 문제 풀이 (0) | 2021.01.04 |
|---|---|
| [이것이 코딩 테스트다 with Python] 19강 BFS 알고리즘 (0) | 2021.01.04 |
| [이것이 코딩 테스트다 with Python] 17강 재귀 함수 (0) | 2021.01.04 |
| [이것이 코딩 테스트다 with Python] 16강 스택과 큐 자료구조 (0) | 2021.01.04 |
| [이것이 코딩 테스트다 with Python] 15강 구현 유형 문제 풀이 (0) | 2021.01.04 |
댓글