728x90
https://www.youtube.com/watch?v=e7_H8SLZlHY&list=PLVsNizTWUw7H9_of5YCB0FmsSc-K44y81&index=20
<문제> 음료수 얼려 먹기: 문제 설명
- N × M 크기의 얼음 틀이 있다. 구멍이 뚫려 있는 부분은 0, 칸막이가 존재하는 부분은 1로 표시된다.
구멍이 뚫려 있는 부분끼리 상, 하, 좌, 우로 붙어 있는 경우 서로 연결되어 있는 것으로 간주한다.
이때 얼음 틀의 모양이 주어졌을 때 생성되는 총 아이스크림의 개수를 구하는 프로그램을 작성하라.
다음의 4 × 5 얼음 틀 예시에서는 아이스크림이 총 3개가 생성된다

<문제> 음료수 얼려 먹기: 문제 조건

<문제> 음료수 얼려 먹기: 문제 해결 아이디어
- 이 문제는 DFS 혹은 BFS로 해결할 수 있다. 일단 앞에서 배운 대로 얼음을 얼릴 수 있는 공간이
상, 하, 좌, 우로 연결되어 있다고 표현할 수 있으므로 그래프 형태로 모델링 할 수 있다.
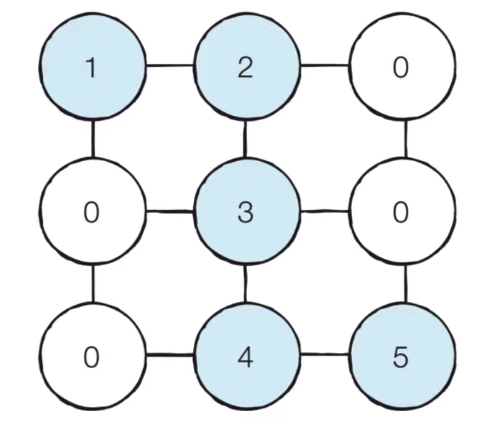
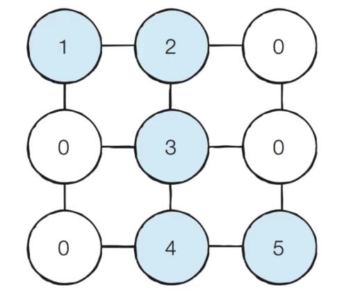
다음과 같이 3 × 3 크기의 얼음 틀이 있다고 가정하고 생각해보자

- DFS를 활용하는 알고리즘은 다음과 같다
- 특정한 지점의 주변 상, 하, 좌, 우를 살펴본 뒤에 주변 지점 중에서 '0'이면서 아직 방문하지
않은 지점이 있다면 해당 지점을 방문한다 - 방문한 지점에서 다시 상, 하, 좌, 우를 살펴보면서 방문을 진행하는 과정을 반복하면, 연결된 모든
지점을 방문할 수 있다 - 모든 노드에 대하여 1 ~ 2번의 과정을 반복하며, 방문하지 않은 지점의 수를 카운트한다
<문제> 음료수 얼려 먹기: 답안 예시 (Python)
# N, M을 공백을 기준으로 구분하여 입력 받기
n, m = map(int, input().split())
# 2차원 리스트의 맵 정보 입력 받기
graph = []
for i in range(n):
graph.append(list(map(int, input())))
# DFS로 특정한 노드를 방문한 뒤에 연결된 모든 노드들도 방문
def dfs(x, y):
# 주어진 범위를 벗어나는 경우에는 즉시 종료
if x <= -1 or x >= n or y <= -1 or y >= m:
return False
# 현재 노드를 아직 방문하지 않았다면
if graph[x][y] == 0:
# 해당 노드 방문 처리
graph[x][y] = 1
# 상, 하, 좌, 우의 위치들도 모두 재귀적으로 호출
dfs(x - 1, y)
dfs(x, y - 1)
dfs(x + 1, y)
dfs(x, y + 1)
return True
return False
# 모든 노드(위치)에 대하여 음료수 채우기
result = 0
for i in range(n):
for j in range(m):
# 현재 위치에서 DFS 수행
if dfs(i, j) == True:
result += 1
print(result) # 정답 출력
실행 결과
1 2 3 8 7 4 5 6
<문제> 음료수 얼려 먹기: 답안 예시 (Java)
import java.util.*;
public class Main {
public static int n, m;
public static int[][] graph = new int[1000][1000];
// DFS로 특정 노드를 방문하고 연결된 모든 노드들도 방문
public static boolean dfs(int x, int y) {
// 주어진 범위를 벗어나는 경우에는 즉시 종료
if (x <= -1 || x >=n || y <= -1 || y >= m) {
return false;
}
// 현재 노드를 아직 방문하지 않았다면
if (graph[x][y] == 0) {
// 해당 노드 방문 처리
graph[x][y] = 1;
// 상, 하, 좌, 우의 위치들도 모두 재귀적으로 호출
dfs(x - 1, y);
dfs(x, y - 1);
dfs(x + 1, y);
dfs(x, y + 1);
return true;
}
return false;
}
public static void main(String[] args) {
Scanner sc = new Scanner(System.in);
// N, M을 공백을 기준으로 구분하여 입력 받기
n = sc.nextInt();
m = sc.nextInt();
sc.nextLine(); // 버퍼 지우기
// 2차원 리스트의 맵 정보 입력 받기
for (int i = 0; i < n; i++) {
String str = sc.nextLine();
for (int j = 0; j < m; j++) {
graph[i][j] = str.charAt(j) - '0';
}
}
// 모든 노드(위치)에 대하여 음료수 채우기
int result = 0;
for (int i = 0; i < n; i++) {
for (int j = 0; j < m; j++) {
// 현재 위치에서 DFS 수행
if (dfs(i, j)) {
result += 1;
}
}
}
System.out.println(result); // 정답 출력
}
}
실행 결과
1 2 3 8 7 4 5 6
<문제> 미로 탈출: 문제 설명
- 동빈이는 N × M 크기의 직사각형 형태의 미로에 갇혔다. 미로에는 여러 마리의 괴물이 있어 이를
피해 탈출해야 한다 - 동빈이의 위치는 (1, 1)이며 미로의 출구는 (N, M)의 위치에 존재하며 한 번에 한 칸씩 이동할 수 있다.
이때 괴물이 있는 부분은 0으로, 괴물이 없는 부분은 1로 표시되어 있다. 미로는 반드시 탈출할 수 있는
형태로 제시된다 - 이때 동빈이가 탈출하기 위해 움직여야 하는 최소 칸의 개수를 구하라. 칸을 셀 때는 시작 칸과 마지막 칸을
모두 포함해서 계산한다

<문제> 미로 탈출: 문제 해결 아이디어
- BFS는 시작 지점에서 가까운 노드부터 차례대로 그래프의 모든 노드를 탐색한다
- 상, 하, 좌, 우로 연결된 모든 노드로의 거리가 1로 동일하다
- 따라서 (1, 1) 지점부터 BFS를 수행하여 모든 노드의 최단 거리 값을 기록하면 해결할 수 있다
- 예시로 다음과 같이 3 X 3 크기의 미로가 있다고 가정하자

- [Step 1] 처음에 (1, 1)의 위치에서 시작하자

- [Step 2] (1, 1) 좌표에서 상, 하, 좌, 우로 탐색을 진행하면 바로 옆 노드인 (1, 2) 위치의 노드를 방문하게
되고 새롭게 방문하는 (1, 2) 노드의 값을 2로 바꾸게 된다

- [Step 3] 마찬가지로 BFS를 계속 수행하면 결과적으로 다음과 같이 최단 경로의 값들이 1씩 증가하는
형태로 변경된다

<문제> 미로 탈출: 답안 예시 (Python)
from collections import deque
# N, M을 공백을 기준으로 구분하여 입력 받기
n, m = map(int, input().split())
# 2차원 리스트의 맵 정보 입력 받기
graph = []
for i in range(n):
graph.append(list(map(int, input())))
# 이동할 네 가지 방향 정의 (상, 하, 좌, 우)
dx = [-1, 1, 0, 0]
dy = [0, 0, -1, 1]
# BFS 소스코드 구현
def bfs(x, y):
# 큐(Queue) 구현을 위해 deque 라이브러리 사용
queue = deque()
queue.append((x, y))
# 큐가 빌 때까지 반복하기
while queue:
x, y = queue.popleft()
# 현재 위치에서 4가지 방향으로의 위치 확인
for i in range(4):
nx = x + dx[i]
ny = y + dy[i]
# 미로 찾기 공간을 벗어난 경우 무시
if nx < 0 or nx >= n or ny < 0 or ny >= m:
continue
# 벽인 경우 무시
if graph[nx][ny] == 0:
continue
# 해당 노드를 처음 방문하는 경우에만 최단 거리 기록
if graph[nx][ny] == 1:
graph[nx][ny] = graph[x][y] + 1
queue.append((nx, ny))
# 가장 오른쪽 아래까지의 최단 거리 반환
return graph[n - 1][m - 1]
# BFS를 수행한 결과 출력
print(bfs(0, 0))
<문제> 미로 탈출: 답안 예시 (Java)
import java.util.*;
class Node {
private int index;
private int distance;
public Node(int index, int distance) {
this.index = index;
this.distance = distance;
}
public int getIndex() {
return this.index;
}
public int getDistance() {
return this.distance;
}
}
public class Main {
public static int n, m;
public static int[][] graph = new int[201][201];
// 이동할 네 가지 방향 정의 (상, 하, 좌, 우)
public static int dx[] = {-1, 1, 0, 0};
public static int dy[] = {0, 0, -1, 1};
public static int bfs(int x, int y) {
// 큐(Queue) 구현을 위해 queue 라이브러리 사용
Queue<Node> q = new LinkedList<>();
q.offer(new Node(x, y));
// 큐가 빌 때까지 반복하기
while(!q.isEmpty()) {
Node node = q.poll();
x = node.getIndex();
y = node.getDistance();
// 현재 위치에서 4가지 방향으로의 위치 확인
for (int i = 0; i < 4; i++) {
int nx = x + dx[i];
int ny = y + dy[i];
// 미로 찾기 공간을 벗어난 경우 무시
if (nx < 0 || nx >= n || ny < 0 || ny >= m) continue;
// 벽인 경우 무시
if (graph[nx][ny] == 0) continue;
// 해당 노드를 처음 방문하는 경우에만 최단 거리 기록
if (graph[nx][ny] == 1) {
graph[nx][ny] = graph[x][y] + 1;
q.offer(new Node(nx, ny));
}
}
}
// 가장 오른쪽 아래까지의 최단 거리 반환
return graph[n - 1][m - 1];
}
public static void main(String[] args) {
Scanner sc = new Scanner(System.in);
// N, M을 공백을 기준으로 구분하여 입력 받기
n = sc.nextInt();
m = sc.nextInt();
sc.nextLine(); // 버퍼 지우기
// 2차원 리스트의 맵 정보 입력 받기
for (int i = 0; i < n; i++) {
String str = sc.nextLine();
for (int j = 0; j < m; j++) {
graph[i][j] = str.charAt(j) - '0';
}
}
// BFS를 수행한 결과 출력
System.out.println(bfs(0, 0));
}
}728x90
'CodingTest' 카테고리의 다른 글
| [이것이 코딩 테스트다 with Python] 22강 삽입 정렬 (0) | 2021.01.04 |
|---|---|
| [이것이 코딩 테스트다 with Python] 21강 선택 정렬 (0) | 2021.01.04 |
| [이것이 코딩 테스트다 with Python] 19강 BFS 알고리즘 (0) | 2021.01.04 |
| [이것이 코딩 테스트다 with Python] 18강 DFS 알고리즘 (0) | 2021.01.04 |
| [이것이 코딩 테스트다 with Python] 17강 재귀 함수 (0) | 2021.01.04 |
댓글