728x90
https://www.youtube.com/watch?v=rWbjQphRE9A&list=PLVsNizTWUw7H9_of5YCB0FmsSc-K44y81&index=28
다이나믹 프로그래밍
-
다이나믹 프로그래밍은 동적 계획법이라고도 부른다
-
일반적인 프로그래밍 분야에서의 동적(Dynamic)이란 어떤 의미를 가질까?
- 자료구조에서 동적 할당(Dynamic Allocation)은 '프로그램이 실행되는 도중에 실행에 필요한
메모리를 할당하는 기법'을 의미한다 - 반면에 다이나믹 프로그래밍에서 '다이나믹'은 별다른 의미 없이 사용된 단어이다
- 자료구조에서 동적 할당(Dynamic Allocation)은 '프로그램이 실행되는 도중에 실행에 필요한
-
다이나믹 프로그래밍은 다음의 조건을 만족할 때 사용할 수 있다
- 최적 부분 구조 (Optimal Substructure)
- 큰 문제를 작은 문제로 나눌 수 있으며 작은 문제로 나눌 수 있으며 작은 문제의 답을 모아서 큰 문제를 해결할 수 있다
- 중복되는 부분 문제 (Overlapping Subproblem)
- 동일한 작은 문제를 반복적으로 해결해야 한다
- 최적 부분 구조 (Optimal Substructure)
피보나치 수열
-
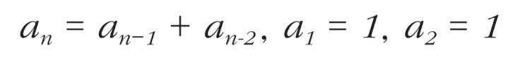
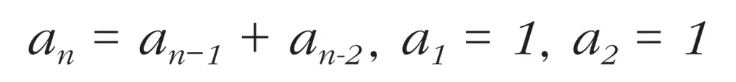
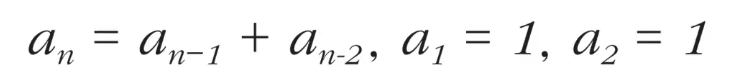
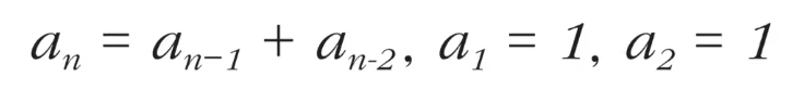
피보나치 수열 다음과 같은 형태의 수열이며, 다이나믹 프로그래밍으로 효과적으로 계산할 수 있다
1, 1, 2, 3, 5, 8, 13, 21, 34, 55, 89, ...
-
점화식이란 인접한 항들 사이의 관계식을 의미
-
피보나치 수열을 점화식으로 표현하면 다음과 같음

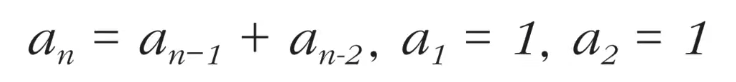
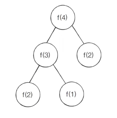
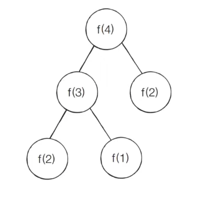
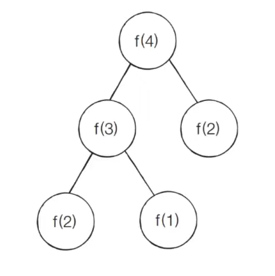
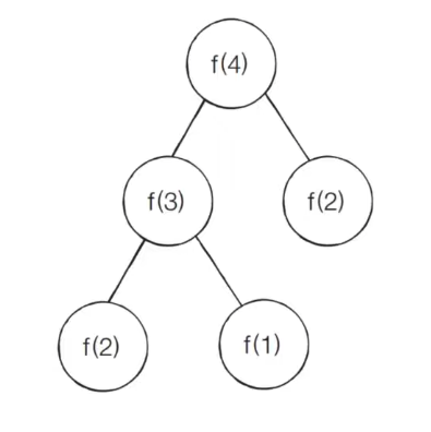
- 피보나치 수열이 계산되는 과정은 다음과 같이 표현할 수 있다
- 프로그래밍에서는 이러한 수열을 배열이나 리스트를 이용해 표현한다

- 피보나치 수열이 계산되는 과정은 다음과 같이 표현할 수 있다
- 𝑛번째 피보나치 수를 f(𝑛)라고 할 때 4번째 피보나치 수 f(4)를 구하는 과정은 다음과 같다

피보나치 수열: 단순 재귀 소스코드 (Python)
# 피보나치 함수(Fibonacci Function)을 재귀함수로 구현
def fibo(x):
if x == 1 or x == 2:
return 1
return fibo(x - 1) + fibo(x - 2)
print(fibo(4))
실행 결과
3
피보나치 수열: 단순 재귀 소스코드 (Java)
import java.util.*;
public class Main {
// 피보나치 함수(Fibonacci Function)을 재귀함수로 구현
public static int fibo(int x) {
if (x == 1 || x == 2) {
return 1;
}
return fibo(x - 1) + fibo(x - 2);
}
public static void main(String[] args) {
System.out.println(fibo(4));
}
}
실행 결과
3
피보나치 수열의 시간 복잡도 분석
- 단순 재귀 함수로 피보나치 수열을 해결하면 지수 시간 복잡도를 가지게 된다
- 다음과 같이 𝒇(2) 가 여러 번 호출되는 것을 확인할 수 있다 (중복되는 부분 문제)

- 피보나치 수열의 시간 복잡도는 다음과 같다
- 세타 표기법: 𝜽(1.618・・・ᴺ)
- 빅오 표기법: O(2ᴺ)
- 빅오 표기법을 기준으로 𝒇(30)을 계산하기 위해 약 10억가량의 연산을 수행해야 한다
- 그렇다면 𝒇(100)을 계산하기 위해 얼마나 많은 연산을 수행해야 할까?
피보나치 수열의 효율적인 해법: 다이나믹 프로그래밍
- 다이나믹 프로그래밍의 사용 조건을 만족하는지 확인한다
- 최적 부분 구조: 큰 문제를 작은 문제로 나눌 수 있다
- 중복되는 부분 문제: 동일한 작은 문제를 반복적으로 해결한다
- 피보나치 수열은 다이나믹 프로그래밍의 사용 조건을 만족한다

메모이제이션 (Memoization)
- 메모이제이션은 다이나믹 프로그래밍을 구현하는 방법 중 하나이다
- 한 번 계산한 결과를 메모리 공간에 메모하는 기법이다
- 같은 문제를 다시 호출하면 메모했던 결과를 그대로 가져온다
- 값을 기록해 놓는다는 점에서 캐싱(Caching) 이라고도 한다
탑다운 VS 보텀업
- 탑다운(메모이제이션) 방식은 하향식이라고도 하며 보텀업 방식은 상향식이라고도 한다
- 다이나믹 프로그래밍의 전형적인 형태는 보텀업 방식이다
- 결과 저장용 리스트는 DP 테이블이라고 부른다
- 엄밀히 말하면 메모이제이션은 이전에 계산된 결과를 일시적으로 기록해 놓는 넓은 개념을 의미한다
- 따라서 메모이제이션은 다이나믹 프로그래밍에 국한된 개념은 아니다
- 한 번 계산된 결과를 담아 놓기만 하고 다이나믹 프로그래밍을 위해 활용하지 않을 수도 있다
피보나치 수열: 탑다운 다이나믹 프로그래밍 소스코드 (Python)
# 한 번 계산된 결과를 메모이제이션(Memoization)하기 위한 리스트 초기화
d = [0] * 100
# 피보나치 함수(Fibonacci Function)를 재귀함수로 구현 (탑다운 다이나믹 프로그래밍)
def fibo(x):
# 종료 조건(1 혹은 2일 때 1을 반환)
if x == 1 or x == 2:
return 1
# 이미 계산한 적 있는 문제라면 그대로 반환
if d[x] != 0:
return d[x]
# 아직 계산하지 않은 문제라면 점화식에 따라서 피보나치 결과 반환
d[x] = fibo(x - 1) + fibo(x - 2)
return d[x]
print(fibo(99))
실행 결과
218922995834555169026
피보나치 수열: 탑다운 다이나믹 프로그래밍 소스코드 (Java)
import java.util.*;
public class Main {
// 한 번 계산된 결과를 메모이제이션(Memoization)하기 위한 배열 초기화
public static long[] d = new long[100];
// 피보나치 함수(Fibonacci Function)를 재귀함수로 구현 (탑다운 다이나믹 프로그래밍)
public static long fibo(int x) {
// 종료 조건(1 혹은 2일 때 1을 반환)
if (x == 1 || x == 2) {
return 1;
}
// 이미 계산한 적 있는 문제라면 그대로 반환
if (d[x] != 0) {
return d[x];
}
// 아직 계산하지 않은 문제라면 점화식에 따라서 피보나치 결과 반환
d[x] = fibo(x - 1) + fibo(x - 2);
return d[x];
}
public static void main(String[] args) {
System.out.println(fibo(50));
}
}
실행 결과
218922995834555169026
피보나치 수열: 보텀업 다이나믹 프로그래밍 소스코드 (Python)
# 앞서 계산된 결과를 저장하기 위한 DP 테이블 초기화
d = [0] * 100
# 첫 번째 피보나치 수와 두 번째 피보나치 수는 1
d[1] = 1
d[2] = 1
n = 99
# 피보나치 함수(Fibonacci Function) 반복문으로 구현(보텀업 다이나믹 프로그래밍)
for i in range(3, n + 1):
d[i] = d[i - 1] + d[i - 2]
print(d[n])
실행 결과
218922995834555169026
피보나치 수열: 보텀업 다이나믹 프로그래밍 소스코드 (Java)
import java.util.*;
public class Main {
public static long[] d = new long[100];
public static void main(String[] args) {
// 첫 번째 피보나치 수와 두 번째 피보나치 수는 1
d[1] = 1;
d[2] = 1;
int n = 50; // 50번째 피보나치 수를 계산
// 피보나치 함수(Fibonacci Function) 반복문으로 구현(보텀업 다이나믹 프로그래밍)
for (int i = 3; i <= n; i++) {
d[i] = d[i - 1] + d[i - 2];
}
System.out.println(d[n]);
}
}
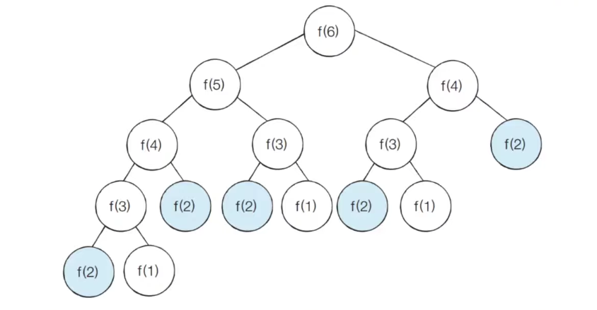
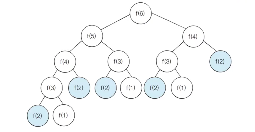
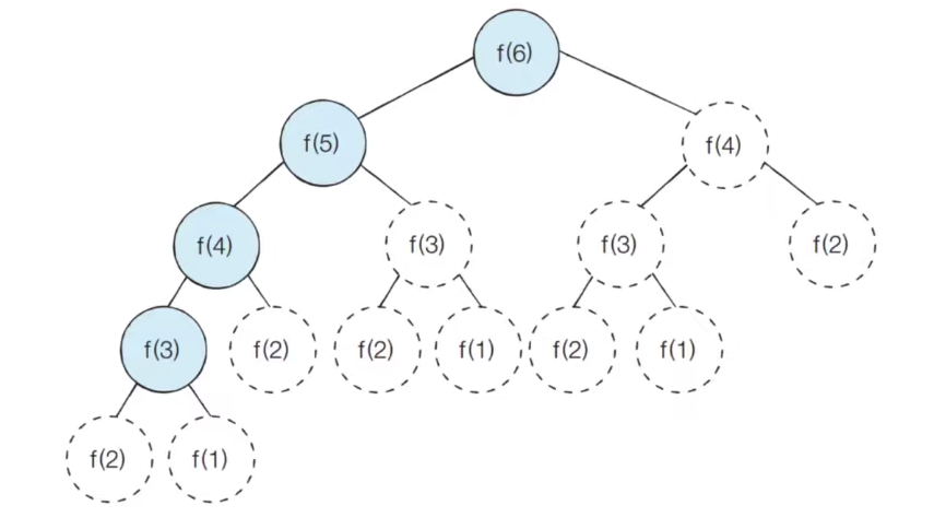
피보나치 수열: 메모이제이션 동작 분석
- 이미 계산된 결과를 메모리에 저장하면 다음과 같이 색칠된 노드만 처리할 것을 기대할 수 있다

- 실제로 호출되는 함수에 대해서만 확인해 보면 다음과 같이 방문한다

- 메모이제이션을 이용하는 경우 피보나치 수열 함수의 시간 복잡도는 O(N) 이다
# 한 번 계산된 결과를 메모이제이션(Memoization)하기 위한 리스트 초기화
d = [0] * 100
# 피보나치 함수(Fibonacci Function)를 재귀함수로 구현 (탑다운 다이나믹 프로그래밍)
def fibo(x):
print('f(' + str(x) + ')', end=' ')
# 종료 조건(1 혹은 2일 때 1을 반환)
if x == 1 or x == 2:
return 1
# 이미 계산한 적 있는 문제라면 그대로 반환
if d[x] != 0:
return d[x]
# 아직 계산하지 않은 문제라면 점화식에 따라서 피보나치 결과 반환
d[x] = fibo(x - 1) + fibo(x - 2)
return d[x]
fibo(6)
실행 결과
f(6) f(5) f(4) f(3) f(2) f(1) f(2) f(3) f(4)
다이나믹 프로그래밍 VS 분할 정복
-
다이나믹 프로그래밍과 분할 정복은 모두 최적 부분 구조를 가질 때 사용할 수 있다
- 큰 문제를 작은 문제로 나눌 수 있으며 작은 문제의 답을 모아서 큰 문제를 해결할 수 있는 상황
-
다이나믹 프로그래밍과 분할 정복의 차이점은 부분 문제의 중복이다
- 다이나믹 프로그래밍 문제에서는 각 부분 문제들이 서로 영향을 미치며 부분 문제가 중복된다
- 분할 정복 문제에서는 동일한 부분 문제가 반복적으로 계산되지 않는다
-
분할 정복의 대표적인 예시인 퀵 정렬을 살펴보자
- 한 번 기준 원소(Pivot)가 자리를 변경해서 자리를 잡으면 그 기준 원소의 위치는 바뀌지 않는다
- 분할 이후에 해당 피벗을 다시 처리하는 부분 문제는 호출하지 않는다

다이나믹 프로그래밍 문제에 접근하는 방법
- 주어진 문제가 다이나믹 프로그래밍 유형임을 파악하는 것이 중요하다
- 가장 먼저 그리디, 구현, 완전 탐색 등의 아이디어로 문제를 해결할 수 있는지 검토할 수 있다
- 다른 알고리즘으로 풀이 방법이 떠오르지 않으면 다이나믹 프로그래밍을 고려해 보자
- 일단 재귀 함수로 비효율적인 완전 탐색 프로그램을 작성한 뒤에 (탑다운) 작은 문제에서 구한 답이
큰 문제에서 그대로 사용될 수 있으면, 코드를 개선하는 방법을 사용할 수 있다 - 일반적인 코딩 테스트 수준에서는 기본 유형의 다이나믹 프로그래밍 문제가 출제되는 경우가 많다
728x90
'CodingTest' 카테고리의 다른 글
| [이것이 코딩 테스트다 with Python] 30강 다익스트라 최단 경로 알고리즘 (0) | 2021.01.04 |
|---|---|
| [이것이 코딩 테스트다 with Python] 29강 다이나믹 프로그래밍 기초 문제 풀이 (0) | 2021.01.04 |
| [이것이 코딩 테스트다 with Python] 27강 이진 탐색 기초 문제 풀이 (0) | 2021.01.04 |
| [이것이 코딩 테스트다 with Python] 26강 이진 탐색 개요 (0) | 2021.01.04 |
| [이것이 코딩 테스트다 with Python] 25강 정렬 알고리즘 비교 및 기초 문제 풀이 (0) | 2021.01.04 |
댓글