www.youtube.com/watch?v=m-9pAwq1o3w&list=PLRx0vPvlEmdAghTr5mXQxGpHjWqSz0dgC&index=1
이것이 코딩 테스트다 소스코드
https://github.com/ndb796/python-for-coding-test
온라인 저지(Online Judge) 란?
프로그래밍 대회나 코딩 테스트에서 나올 법한 문제를 시험해보는 온라인 시스템
| 사이트명 | URL |
|---|---|
| 코드포스(Codeforces) | http://www.codeforces.com |
| 탑코더(TopCoder) | https://www.topcoder.com |
| 릿코드(LeetCode) | https://leetcode.com |
| 코드셰프(CODECHEF) | https://www.codechef.com |
| 백준 온라인 저지(BOJ) | https://www.acmicpc.net |
| 코드업(CodeUp) | https://codeup.kr |
| 프로그래머스(Programmers) | https://programmers.co.kr |
| SW Expert Academy | https://swexpertacademy.com |
온라인 개발 환경 (Python)
Team 노트 Sample
알고리즘 코딩 테스트를 준비하는 과정에서 자신만의 소스코드를 관리하는 습관을 들이면 좋음
자신이 자주 사용하는 알고리즘 코드를 라이브러리화 하면 좋음
https://github.com/ndb796/Python-Competitive-Programming-Team-Notes
IT 기업 코딩 테스트 최신 출제 경향
알고리즘 코딩 테스트 유형 분석
- 구현: 33%
- BFS/DFS: 20.9%
- 그리디: 19.8%
- 정렬: 8.2%
- 다이나믹 프로그래밍: 8.2%
- 이진 탐색: 3.8%
- 최단 경로: 3.3%
- 그래프 이론: 2.7%
2019
- 삼성전자: 완전 탐색, 시뮬레이션, 구현, DFS/BFS
- 카카오: 구현, 이진 탐색, 자료구조, 추천 시스템 개발
- 라인: 탐색, 구현, 문자열, 다이나믹 프로그래밍, 자료구조, 완전 탐색, 구현
2018
- 삼성전자: 완전 탐색, 구현, DFS/BFS, 시뮬레이션
- 카카오: 그리디, 구현, 자료구조, 시뮬레이션 개발
- 라인: 탐색, 그리디, 다이나믹 프로그래밍, 구현, 탐색, 그리디, 구현, 문자열
알고리즘 성능 평가
복잡도(Complexity)
- 복잡도는 알고리즘의 성능을 나타내는 척도
- 시간 복잡도: 특정한 크기의 입력에 대하여 알고리즘의 수행 시간 분석
- 공간 복잡도: 특정한 크기의 입력에 대하여 알고리즘의 메모리 사용량 분석
- 동일한 기능을 수행하는 알고리즘이 있다면 일반적으로 복잡도가 낮을수록 좋은 알고리즘
빅오 표기법(Big-O Natation)
- 가장 빠르게 증가하는 항만을 고려하는 표기법
- 함수의 상한만을 나타내게 됨
- 예를 들어 연산 횟수가 3N³ + 5N² + 1,000,000인 알고리즘이 있다면
- 빅오 표기법에서는 차수가 가장 큰 항만 남기므로 O(N³)으로 표현된다
| 빅오 표기법 | 명칭 |
|---|---|
| O(1) | 상수 시간(Constant time) |
| O(logN) | 로그 시간(Log time) |
| O(N) | 선형 시간 |
| O(NlogN) | 로그 선형 시간 |
| O(N²) | 이차 시간 |
| O(N³) | 삼차 시간 |
| O(2ⁿ) | 지수 시간 |
알고리즘 설계 Tip
- 일반적으로 CPU 기반의 개인 컴퓨터나 채점용 컴퓨터에서 연산 횟수가 5억을 넘어가는 경우
- C언어를 기준으로 통상 1 ~ 3초 가량의 시간이 소요됨
- Python을 기준으로 통상 5 ~ 15초 가량의 시간이 소요됨
- PyPy의 경우 때때로 C언어보다도 빠르게 동작하기도 함
- O(N³)의 알고리즘을 설계한 경우 N의 값이 5000이 넘는다면 천이백오십억이 연산횟수
Python 이 1초에 5천만번 정도의 계산을 처리할 수 있다고 하면 약 2500초 정도가 소요됨
채점용 서버에서는 Python이 1초에 2천만번 정도의 연산만 처리할 수 있다고 가정하고 문제를 접해야함 - 코딩 테스트 문제에서 시간제한은 통상 1 ~ 5초가량이라는 점에 유의
- 혹여 문제에 명시되어 이씾 않은 경우 대략 5초 정도라고 생각하고 문제를 푸는 것이 합리적임
요구사항에 따라 적절한 알고리즘 설계학
- 문제에서 가장 먼저 확인해야 하는 내용은 시간제한(수행시간 요구사항)임
- 시간제한이 1초인 문제를 만났을 때 일반적인 기준은 다음과 같습니다
- N의 범위가 500인 경우: 시간 복잡도가 O(N³)인 알고리즘을 설계하면 문제를 풀 수 있음
- N의 범위가 2,000인 경우: 시간 복잡도가 O(N²)인 알고리즘을 설계하면 문제를 풀 수 있음
- N의 범위가 100,000인 경우: 시간 복잡도가 O(NlogN)인 알고리즘을 설계하면 문제를 풀 수 있음
- N의 범위가 10,000,000인 경우: 시간 복잡도가 O(N)인 알고리즘을 설계하면 문제를 풀 수 있음
알고리즘 문제 해결 과정
- 일반적인 알고리즘 문제 해결 과정
- 지문 읽기 및 컴퓨터적 사고
- 요구사항(복잡도) 분석
- 문제 해결을 위한 아이디어 찾기
- 소스코드 설계 및 코딩
- 일반적으로 대부분의 문제 출제자들은 핵심 아이디어를 캐치한다면 간결하게 소스코드를 작성할 수 있는 형태로 문제를 출제함
수행시간 측정 소스코드 예제
- 일반적인 알고리즘 문제 해결 과정
import time
start_time = time.time() # 측정 시간
# 프로그램 소스코드
end_time = time.time() # 측정 종료
print("time:", end_time - start_time) # 수행 시간 출력
선택 정렬과 기본 정렬 라이브러리 수행 시간 비교
from random import randint
import time
# 배열에 10,000개의 정수를 삽입
array = []
for _ in range(10000):
array.append(randint(1, 100)) # 1부터 100 사이의 랜덤한 정수
# 선택 정렬 프로그램 성능 측정
start_time = time.time()
# 선택 정렬 프로그램 소스코드
for i in range(len(array)):
min_index = i # 가장 작은 원소의 인덱스
for j in range(i + 1, len(array)):
if array[min_index] > array[j]:
min_index = j
array[i], array[min_index] = array[min_index], array[i] # 스와이프
end_time = time.time() # 측정 종료
print("선택 정렬 성능 측정:", end_time - start_time) # 수행 시간 출력
# 기본 정렬 라이브러리 성능 측정
start_time = time.time()
# 기본 정렬 라이브러리 사용
array.sort()
end_time = time.time() # 측정 종료
print("기본 정렬 라이브러리 성능 측정:", end_time - start_time) # 수행 시간 출력
실행 결과
선택 정렬 성능 측정: 37.918421268463135
기본 정렬 라이브러리 성능 측정: 9.083747863769531e-05
자료형
- 모든 프로그래밍은 결국 데이터를 다루는 행위
- 자료형에 대한 이해는 프로그래밍의 길에 있어서의 첫걸음이라고 할 수 있음
- 파이썬의 자료형으로는 정수형, 실수형, 복소수형, 문자열, 리스트, 튜플, 사전 등이 있음
- 파이썬의 자료형은 필수적으로 알아 두어야 함
정수형
- 정수형(Integer)은 정수를 다루는 자료형
- 양의 정수, 음의 정수, 0이 포함됨
- 코딩 테스트에서 출제되는 많은 문제들은 정수형을 주로 다루게 됨
# 양의 정수
a = 1000
print(a)
# 음의 정수
a = -7
print(a)
# 0
a = 0
print(a)
실행 결과
1000
-7
0
실수형
- 실수형(Real Number)은 소수점 아래의 데이터를 포함하는 수 자료형
- 파이썬에서는 변수에 소수점을 붙인 수를 대입하면 실수형 변수로 처리됨
- 소수부가 0이거나, 정수부가 0인 소수는 0을 생략하고 작성할 수 있음
# 양의 실수
a = 157.93
print(a)
# 음의 실수
a = -1837.2
print(a)
# 소수부가 0일 때 0을 생략
a = 5.
print(a)
# 정수부가 0일 때 0을 생략
a = -.7
print(a)
실행 결과
157.93
-1837.2
5.0
-0.7
지수 표현 방식
-
파이썬에서는 e나 E를 이용한 지수 표현 방식을 이용할 수 있음
- e나 E 다음에 오는 수는 10의 지수부를 의미
- 예를 들어 1e9라고 입력하게 되면 10의 9제곱(1,000,000)이 됨
유효숫자eⁿ = 유효숫자 X 10ⁿ
-
지수 표현 방식은 임의의 큰 수를 표현하기 위해 자주 사용됨
-
최단 경로 알고리즘에서는 도달할 수 없는 노드에 대하여 최단 거리를 무한(INF)로 설정하곤 함
-
이때 가능한 최댓값이 10억 미만이라면 무한(INF)의 값으로 1e9를 이용할 수 있음
# 1,000,000,000의 지수 표현 방식
a = 1e9
print(a)
# 752.5
a = 75.25e1
print(a)
# 3.954
a = 3954e-3
print(a)
실행 결과
1000000000.0
752.5
3.954
실수형 더 알아보기
- 오늘날 가장 널리 쓰이는 IEEE754 표준에서는 실수형을 저장하기 위해 4바이트 혹은 8바이트의 고정된 크기의 메모리를 할당하므로
컴퓨터 시스템은 실수 정보를 표현하는 정확도에 한계를 가짐 - 예를 들어 10진수 체계에서는 0.3과 0.6을 더한 값이 0.9로 정확히 떨어진다
- 하지만 2진수에서는 0.9를 정확히 표현할 수 있는 방법이 없음
- 컴퓨터는 최대한 0.9와 가깝게 표현하지만 미세한 오차가 발생하게 됨
a = 0.3 + 0.6
print(a)
if a == 0.9:
print(True)
else:
print(False)
실행 결과
0.8999999999999999
False
- 개발과정에서 실수 값을 제대로 비교하지 못해서 원하는 결과를 얻지 못할 수 있음
- 이럴 때는 round() 함수를 이용할 수 있으며 이러한 방법이 권장됨
- 예를 들어 123.456을 소수 셋째 자리에서 반올림하려면
round(123.456, 2)라고 작성- 결과는 123.46
a = 0.3 + 0.6
print(round(a, 4))
if round(a, 4) == 0.9:
print(True)
else:
print(False)
실행 결과
0.9
True
수 자료형의 연산
- 수 자료형에 대하여 사칙연산과 나머지 연산자가 많이 사용됨
- 단 나누기 연산자(
/)를 주의해서 사용해야 함- 파이썬에서 나누기 연산자(
/)는 나눠진 결과를 실수형으로 반환함
- 파이썬에서 나누기 연산자(
- 다양한 로직을 설계할 때 나머지 연산자(
%)를 이용해야 할 때가 많음- 예시: a가 홀수인지 체크해야 하는 경우
- 파이썬에서는 몫을 얻기 위해 몫 연산자(
//)를 사용 - 이외에도 거듭 제곱 연산자(``)**를 비롯해 다양한 연산자들이 존재
a = 7
b = 3
# 나누기
print(a / b)
# 나머지
print(a % b)
# 몫
print(a // b)
실행 결과
2.3333333333333335
1
2
a = 5
a = 3
# 거듭 제곱
print(a ** b)
# 제곱근
print(a ** 0.5)
실행 결과
125
2.23606797749979
리스트 자료형
- 여러 개의 데이터를 연속적으로 담아 처리하기 위해 사용하는 자료형
- 사용자 입장에서 C나 자바에서의 배열(Array)의 기능 및 연결 리스트와 유사한 기능을 지원
- C++의 STL vector와 기능적으로 유사함
- 리스트 대신에 배열 혹은 테이블이라고 부르기도 함

리스트 초기화
- 리스트는 대괄호(
[])안에 원소를 넣어 초기화하며 쉼표(,)로 원소를 구분 - 비어 있는 리스트를 선언하고자 할 때는
list()혹은 간단히[]를 이용할 수 있음 - 리스트의 원소에 접근할 때는 인덱스(Index) 값을 괄호에 넣음
- 인덱스는 0부터 시작
# 직접 데이터를 넣어 초기화
a = [1, 2, 3, 4, 5, 6, 7, 8, 9]
print(a)
# 네 번째 원소만 출력
print(a[3])
# 크기가 N이고, 모든 값이 0인 1차원 리스트 초기화
n = 10
a = [0] * n
print(a)
실행 결과
[1, 2, 3, 4, 5, 6, 7, 8, 9]
4
[0, 0, 0, 0, 0, 0, 0, 0, 0, 0]
리스트의 인덱싱과 슬라이싱
- 인덱스 값을 입력하여 리스트의 특정한 원소에 접근하는 것을 인덱싱(Indexing)이라고 함
- 파이썬의 인덱스 값은 양의 정수와 음의 정수를 모두 사용할 수 있음
- 음의 정수를 넣으면 원소를 거꾸로 탐색하게 됨
a = [1, 2, 3, 4, 5, 6, 7, 8, 9]
# 여덟 번째 원소만 출력
print(a[7])
# 뒤에서 첫 번째 원소 출력
print(a[-1])
# 뒤에서 세 번째 원소 출력
print(a[-3])
# 네 번째 원소 값 변경
a[3] = 7
print(a)
실행 결과
8
9
7
[1, 2, 3, 7, 5, 6, 7, 8, 9]
- 리스트에서 연속적인 위치를 갖는 원소들을 가져와야 할 때는 슬라이싱(Slicing)을 이용
- 대괄호 안에 콜론(
:)을 넣어서 시작 인덱스와 끝 인덱스를 설정할 수 있음 - 끝 인덱스는 실제 인덱스보다 1을 더 크게 설정함
- 대괄호 안에 콜론(
a = [1, 2, 3, 4, 5, 6, 7, 8, 9]
# 네 번째 원소만 출력
print(a[3])
# 두 번째 원소부터 네 번째 원소까지
print(a[1 : 4])
실행 결과
4
[2, 3, 4]
리스트 컴프리헨션
- 리스트를 초기화 하는 방법 중 하나
- 대괄호 안에 조건문과 반복문을 적용하여 리스트를 초기화 할 수 있음
- 주의: 아직 조건문과 반복문에 대한 내용을 배우기 전이라면 대략적인 쓰임새만 이해하고 넘어가도록
# 0부터 9까지의 수를 포함하는 리스트
array = [i for i in range(10)]
print(array)
실행 결과
[0, 1, 2, 3, 4, 5, 6, 7, 8, 9]
- 리스트 컴프리헨션은 2차원 리스트를 초기화할 떄 효과적으로 사용될 수 있음
- 특히 N X M 크기의 2차원 리스트를 한 번에 초기화 해야 할 때 매우 유용함
- 좋은 예시:
array = [[0] * m for _ in range(n)]
- 좋은 예시:
- 만약 2차원 리스트를 초기화할 때 다음과 같이 작성하면 예기치 않은 결과가 나올 수 있음
- 잘못된 예시: array = [[0] * m] * n
- 위 코드는 전체 리스트 안에 포함된 각 리스트가 모두 같은 객체로 인식됨
리스트 컴프리헨션 (좋은 예시)
# N X M 크기의 2차원 리스트 초기화
n = 4
m = 3
array = [[0] * m for _ in range(n)]
print(array)
실행 결과
[[0, 0, 0], [0, 0, 0], [0, 0, 0], [0, 0, 0]]
리스트 컴프리헨션 (잘못된 예시)
# N X M 크기의 2차원 리스트 초기화 (잘못된 방법)
n = 4
m = 3
array = [[0] * m] * n
print(array)
array[1][1] = 5
print(array)
실행 결과

[[0, 0, 0], [0, 0, 0], [0, 0, 0], [0, 0, 0]]
[[0, 5, 0], [0, 5, 0], [0, 5, 0], [0, 5, 0]]
리스트 컴프리헨션과 일반적인 코드 비교하기
코드 1: 리스트 컴프리헨션
# 0부터 19까지의 수 중에서 홀수만 포함하는 리스트
array = [i for i in range(20) if i % 2 == 1]
print(array)
코드 2: 일반적인 코드
# 0부터 19까지의 수 중에서 홀수만 포함하는 리스트
array = []
for i in range(20):
if i % 2 == 1:
array.append(i)
print(array)
실행 결과(두 코드 모두 동일)
[1, 3, 5, 7, 9, 11, 13, 15, 17, 19]
언더바는 언제 사용하나요?
- 파이썬에서는 반복을 수행하되 반복을 위한 변수의 값을 무시하고자 할 때 언더바(
_)를 자주 사용함
코드 1:1부터 9까지의 자연수를 더하기
summary = 0
for i in range(1, 10):
summary += i
print(summary)
코드 2: "Hello World"를 5번 출력하기
for _ in range(5):
print("Hello World")
리스트 관련 기타 메서드
| 함수명 | 사용법 | 설명 | 시간 복잡도 |
|---|---|---|---|
append() |
변수명.append() |
리스트에 원소를 하나 삽입할 떄 사용 | O(1) |
sort() |
변수명.sort() |
||
변수명.sort(reverse=True) |
기본 정렬 기능으로 오름차순으로 정렬 | ||
| 내림차순으로 정렬 | O(NlogN) | ||
reverse() |
변수명.reverse() |
리스트의 원소의 순서를 모두 뒤집어 놓음 | O(N) |
insert() |
insert(삽입할 위치 인덱스, 삽입할 값) | 특정한 인덱스 위치에 원소를 삽입할 때 사용 | O(N) |
count() |
변수명.count(특정 값) |
리스트에서 특정한 값을 가지는 데이터의 개수를 셀 때 사용 | O(N) |
remove() |
변수명.remove(특정 값) |
특정한 값을 갖는 원소를 제거하는데 값을 가진 원소가 여러 개면 하나만 제거 | O(N) |
a = [1, 4, 3]
print("기본 리스트: ", a)
# 리스트에 원소 삽입
a.append(2)
print("삽입: ", a)
# 오름차순 정렬
a.sort()
print("오름차순 정렬: ", a)
# 내림차순 정렬
a.sort(reverse = True)
print("내림차순 정렬: ", a)
실행 결과
기본 리스트: [1, 4, 3]
삽입: [1, 4, 3, 2]
오름차순 정렬: [1, 2, 3, 4]
내림차순 정렬: [4, 3, 2, 1]
a = [4, 3, 2, 1]
# 리스트 원소 뒤집기
a.reverse()
print("원소 뒤집기: ", a)
# 특정 인덱스에 데이터 추가
a.insert(2, 3)
print("인덱스 2에 3추가: ", a)
# 특정 값인 데이터 개수 세기
print("값이 3인 데이터 개수: ", a.count(3))
# 특정 값 데이터 삭제
a.remove(1)
print("값이 1인 데이터 삭제: ", a)
실행 결과
원소 뒤집기: [1, 2, 3, 4]
인덱스 2에 3추가: [1, 2, 3, 3, 4]
값이 3인 데이터 개수: 2
값이 1인 데이터 삭제: [2, 3, 3, 4]
리스트에서 특정 값을 가지는 원소를 모두 제거하기
a = [1, 2, 3, 4, 5, 5, 5]
remove_set = {3, 5} # 집합 자료형
# remove_list에 포함되지 않은 값만을 저장
result = [i for i in a if i not in remove_set]
print(result)
실행 결과
[1, 2, 4]
문자열 자료형
- 문자열 변수를 초기화할 때는 큰따옴표(
")나 작은 따옴표(')를 이용 - 문자열 안에 큰따옴표나 작은따옴표가 포함되어야 하는 경우가 있음
- 전체 문자열을 큰따옴표로 구성하는 경우 내부적으로 작은따옴표를 포함할 수 있음
- 전체 문자열을 작은따옴표로 구성하는 경우 내부적으로 큰따옴표를 포함할 수 있음
- 혹은 백슬래시(
\)를 사용하면 큰따옴표나 작은따옴표를 원하는 만큼 포함시킬 수 있음
data = 'Hello World'
print(data)
data = "Don't you know \"Python\"?"
print(data)
실행 결과
Hello World
Don't you know "Python"?
문자열 연산
- 문자열 변수에 덧셈(
+)을 이용하면 문자열이 더해져서 연결(Concatenate)됨 - 문자열 변수를 특정한 양의 정수와 곱하는 경우 문자열이 그 값만큼 여러 번 더해짐
- 문자열에 대해서도 마찬가지로 인덱싱과 슬라이싱을 이용할 수 있음
- 다만 문자열은 특정 인덱스의 값을 변경할 수는 없음 (Immutable)
a = "Hello"
b = "World"
print(a + " " + b)
a = "String"
print(a * 3)
a = "ABCDEF"
print(a[2 : 4])
실행 결과
Hello World
StringStringString
CD
튜플 자료형
- 튜플 자료형은 리스트와 유사하지만 다음과 같은 문법적 차이가 있음
- 튜플은 한 번 선언된 값을 변경할 수 없음
- 리스트는 대괄호(
[])를 이용하지만 튜플은 소괄호(())를 이용함
- 튜플은 리스트에 비해 상대적으로 공간 효율적임
a = (1, 2, 3, 4, 5, 6, 7, 8, 9)
# 네 번째 원소만 출력
print(a[3])
# 두 번째 원소부터 네 번째 원소까지
print(a[1 : 4])
실행 결과
4
(2, 3, 4)
튜플 사용 예제 (오류가 발생하는 예제)
a = (1, 2, 3, 4)
print(a)
a[2] = 7
실행 결과
Traceback (most recent call last):
File "main.py", line 4, in <module>
a[2] = 7
TypeError: 'tuple' object does not support item assignment
튜플을 사용하면 좋은 경우
- 서로 다른 성질의 데이터를 묶어서 관리해야 할 때
- 최단 경로 알고리즘에서는 (비용, 노드 번호)의 형태로 튜플 자료형을 자주 사용함
- 데이터의 나열을 해싱(Hashing)의 키 값으로 사용해야 할 때
- 튜플은 변경이 불가능하므로 리스트와 다르게 키 값으로 사용될 수 있음
- 리스트보다 메모리를 효율적으로 사용해야 할 때
사전 자료형
- 사전 자료형은 키(Key)와 값(Value)의 쌍을 데이터로 가지는 자료형
- 앞서 다루었던 리스트나 튜플이 값을 순차적으로 저장하는 것과는 대비됨
- 사전 자료형은 키와 값의 쌍을 데이터로 가지며 원하는 '변경 불가능한(Immutable) 자료형'을 키로 사용할 수 있음
- 파이썬의 사전 자료형은 해시 테이블(Hash Table)을 이용하므로 데이터의 조회 및 수정에 있어서 O(1)의 시간에 처리 할 수 있음
data = dict()
data['사과'] = 'Apple'
data['바나나'] = 'Banana'
data['코코넛'] = 'Coconut'
print(data)
if '사과' in data:
print("'사과'를 키로 가지는 데이터가 존재합니다")
| 키(Key) | 값(Value) |
|---|---|
| 사과 | Apple |
| 바나나 | Banana |
| 코코넛 | Coconut |
실행 결과
{'사과': 'Apple', '바나나': 'Banana', '코코넛': 'Coconut'}
'사과'를 키로 가지는 데이터가 존재합니다
사전 자료형 관련 메서드
- 사전 자료형에서는 키와 값을 별도로 뽑아내기 위한 메서드를 지원함
- 키 데이터만 뽑아서 리스트로 이용할 때는 keys() 함수를 이용
- 값 데이터만을 뽑아서 리스트로 이용할 때는 values() 함수를 이용
data = dict()
data['사과'] = 'Apple'
data['바나나'] = 'Banana'
data['코코넛'] = 'Coconut'
# 키 데이터만 담은 리스트
key_list = data.keys()
# 값 데이터만 담은 리스트
value_list = data.values()
print(key_list)
print(value_list)
# 각 키에 따른 값을 하나씩 출력
for key in key_list:
print(data[key])
실행 결과
dict_keys(['사과', '바나나', '코코넛'])
dict_values(['Apple', 'Banana', 'Coconut'])
Apple
Banana
Coconut
집합 자료형
- 집합은 다음과 같은 특징이 있음
- 중복을 허용하지 않음
- 순서가 없음
- 집합은 리스트 혹은 문자열을 이용해서 초기화할 수 있음
- 이때
set()함수를 이용
- 이때
- 혹은 중괄호 (
{})안에 각 원소를 콤마(,)를 기준으로 구분하여 삽입함으로써 초기화 할 수 있음 - 데이터의 조회 및 수정에 있어서 O(1)의 시간에 처리할 수 있음
# 집합 자료형 초기화 방법 1
data = set([1, 1, 2, 3, 4, 4, 5])
print(data)
# 집합 자료형 초기화 방법 2
data = {1, 1, 2, 3, 4, 4, 5}
print(data)
실행 결과
{1, 2, 3, 4, 5}
{1, 2, 3, 4, 5}
집합 자료형의 연산
- 기본적인 집합 연산으로는 합집합, 교집합, 차집합 연산 등이 있음
- 합집합: 집합 A에 속하거나 B에 속하는 원소로 이루어진 집합 (A ∪ B)
- 교집합: 집합 A에도 속하고 B에도 속하는 원소로 이루어진 집합 (A ∩ B)
- 차집합: 집합 A의 원소 중에서 B에 속하지 않는 원소들로 이루어진 집합 (A − B)
a = set([1, 2, 3, 4, 5])
b = set([3, 4, 5, 6, 7])
# 합집합
print(a | b)
# 교집합
print(a & b)
# 차집합
print(a - b)
실행 결과
{1, 2, 3, 4, 5, 6, 7}
{3, 4, 5}
{1, 2}
집합 자료형 관련 함수
data = set([1, 2, 3])
print(data)
# 새로운 원소 추가
data.add(4)
print(data)
# 새로운 원소 여러 개 추가
data.update([5, 6])
print(data)
# 특정한 값을 갖는 원소 삭제
data.remove(3)
print(data)
실행 결과
{1, 2, 3}
{1, 2, 3, 4}
{1, 2, 3, 4, 5, 6}
{1, 2, 4, 5, 6}
사전 자료형과 집합 자료형의 특징
- 리스트나 튜플은 순서가 있기 때문에 인덱싱을 통해 자료형의 값을 얻을 수 있음
- 사전 자료형과 집합 자료형은 순서가 없기 때문에 인덱싱으로 값을 얻을 수 없음
- 사전의 키(Key) 혹은 집합의 원소(Element)를 이용해 O(1)의 시간 복잡도로 조회함
기본 입출력
- 모든 프로그램은 적절한 (약속된) 입출력 양식을 가지고 있음
- 프로그램 동작의 첫 번째 단계는 데이터를 입력 받거나 생성하는 것
- 예시) 학생의 성적 데이터가 주어지고 이를 내림차순으로 정렬한 결과를 출력하는 프로그램
입력 예시
5
65 90 75 34 99
출력 예시
99 90 75 65 34
자주 사용되는 표준 입력 방법
input()함수는 한 줄의 문자열을 입력 받는 함수이다map()함수는 리스트의 모든 원소에 각각 특정한 함수를 적용할 때 사용함- 예시) 공백을 기준으로 구분된 데이터를 입력 받을 때는 다음과 같이 사용함
list(map(int, input().split()))
- 예시) 공백을 기준으로 구분된 데이터의 개수가 많지 않다면 단순히 다음과 같이 사용함
a, b, c = map(int, input().split())
# 데이터의 개수 입력
n = int(input())
# 각 데이터를 공백을 기준으로 구분하여 입력
data = list(map(int, input().split()))
data.sort(reverse=True)
print(data)
실행 결과
5
65 90 75 34 99
[99, 90, 75, 65, 34]
입력을 위한 전형적인 소스코드 2)
# n, m, k를 공백을 기준으로 구분하여 입력
n, m, k = map(int, input().split())
print(n, m, k)
실행 결과
3 5 7
3 5 7
빠르게 입력 받기
- 사용자로부터 입력을 최대한 빠르게 받아야 하는 경우가 있음
- 파이썬의 경우 sys 라이브러리에 정의되어 있는
sys.stdin.readline()메서드를 이용- 단 입력 후 엔터(Enter)가 줄 바꿈 기호로 입력되므로
rstrip()메서드를 함꼐 사용함
- 단 입력 후 엔터(Enter)가 줄 바꿈 기호로 입력되므로
import sys
# 문자열 입력 받기
data = sys.stdin.readline().rstrip()
print(data)
자주 사용되는 표준 출력 방법
- 파이썬에서 기본 출력은
print()함수를 이용- 각 변수를 콤마(
,)를 이용하여 띄어쓰기로 구분하여 출력할 수 있음
- 각 변수를 콤마(
print()는 기본적으로 출력 이후에 줄 바꿈을 수행함- 줄 바꿈을 원치 않는 경우 'end' 속성을 이용할 수 있음
출력을 위한 전형적인 소스코드
# 출력할 변수들
a = 1
b = 2
print(a, b)
print(7, end=" ")
print(8, end=" ")
# 출력할 변수
answer = 7
print("정답은" + str(answer) + "입니다")
실행 결과
1 2
7 8 정답은 7입니다
f-string 예제
- 파이썬 3.6부터 사용 가능하며 문자열 앞에 접두사 'f'를 붙여 사용
- 중괄호 안에 변수명을 기입하여 간단히 문자열과 정수를 함께 넣을 수 있음
answer = 7
print(f"정답은 {answer}입니다")
실행 결과
정답은 7입니다
조건문과 반복문
조건문
- 조건문은 프로그램의 흐름을 제어하는 문법
- 조건문을 이용해 조건에 따라서 프로그램의 로직을 설정할 수 있음
x = 15
if x >= 10:
print("x >= 10")
if x >= 0:
print("x >= 0")
if x >= 30:
print("x >= 30")
실행 결과
x >= 10
x >= 0
들여쓰기
- 파이썬에서 코드의 블록(Block)을 들여쓰기(Indent)로 지정함
- 다음의 코드에서 ②번 라인은 무조건 실행됨
score = 85
if score >= 70:
print('성적이 70점 이상입니다')
if score >= 90:
print('우수한 성적입니다')
else:
print('성적이 70점 미만입니다') # ①
print('조금 더 분발하세요') # ①
print('프로그램을 종료합니다') # ②
실행 결과
성적이 70점 이상입니다
프로그램을 종료합니다
- 텝을 사용하는 쪽과 공백 문자(space)를 여러 번 사용하는 쪽으로 두 진영이 있음
- 이에 대한 논쟁은 지금까지도 활발함
- 파이썬 스타일 가이드라인에서는 4개의 공백 문자를 사용하는 것을 표준으로 설정하고 있음
조건문의 기본 형태
-
조건문의 기본적인 형태는 if ~elif ~ else임
-
조건문을 사용할 때 elif 혹은 else 부분은 경우에 따라서 사용하지 않아도 됨
if 조건문 1: 조건문 1이 True일 때 실행되는 코드 elif 조건문 2: 조건문 1에 해당하지 않고 조건문 2가 True 일 때 실행되는 코드 else: 위의 모든 조건문이 모두 True 값이 아닐 때 실행되는 코드
-
성적 구간에 따른 학점 출력 예제
- 성적이 90점 이상일 때: A
- 성적이 90점 미만 80점 이상일 때: B
- 성적이 80점 미만 70점 이상일 때: C
- 성적이 70점 미만일 때: F
score = 85
if score >= 90:
print("학점: A")
elif score >= 80:
print("학점: B")
elif score >= 70:
print("학점: C")
else:
print("학점: F")
실행 결과
학점: B
비교 연산자
- 비교 연산자는 특정한 두 값을 비교할 때 이용할 수 있음
- 대입 연산자(
=)와 같음 연산자(==)의 차이점에 유의
- 대입 연산자(
| 비교 연산자 | 설명 |
|---|---|
| X == Y | X와 Y가 서로 같을 때 참(True)이다 |
| X != Y | X와 Y가 서로 다를 때 참(True)이다 |
| X > Y | X가 Y보다 클 때 참(True)이다 |
| X < Y | X가 Y보다 작을 때 참(True)이다 |
| X >= Y | X가 Y보다 크거나 같을 때 참(True)이다 |
| X <= Y | X가 Y보다 작거나 같을 때 참(True)이다 |
논리 연산자
- 논리 연산자는 논리 값 (True/False) 사이의 연산을 수행할 때 사용
| 논리 연산자 | 설명 |
|---|---|
| X and Y | X와 Y가 모두 참(True)일 때 참(True)이다 |
| X or Y | X와 Y중에 하나만 참(True)이어도 참(True)이다 |
| not X | X가 거짓(False)일 때 참(True)이다 |
파이썬의 기타 연산자
- 다수의 데이터를 담는 자료형을 위해 in 연산자와 not in 연산자가 제공됨
- 리스트, 튜플, 문자열, 딕셔너리 모두에서 사용이 가능함
| in 연산자와 not in 연산자 | 설명 |
|---|---|
| X in 리스트 | 리스트 안에 x가 들어가 있을 때 참(True)이다 |
| x not in 문자열 | 문자열 안에 x가 들어가 있지 않을 때 참(True)이다 |
파이썬의 pass 키워드
- 아무것도 처리하고 싶지 않을 때 pass 키워드를 사용
- 예시) 디버깅 과정에서 일단 조건문의 형태만 만들어 놓고 조건문을 처리하는 부분은 비워놓고 싶은 경우
score = 85
if score >= 80:
pass # 나중에 작성할 소스코드
else:
print('성적이 80점 미만입니다')
print('프로그램을 종료합니다')
실행 결과
프로그램을 종료합니다
조건문의 간소화
- 조건문에서 실행될 소스코드가 한 줄인 경우 굳이 줄 바꿈을 하지 않고도 간략하게 표현할 수 있음
score = 85
if score >= 80: result = "Success"
else: result = "Fail"
print(result)
실행 결과
Success
- 조건부 표현식(Conditional Expression)은 if ~ else문을 한 줄에 작성할 수 있도록 해줌
score = 85
result = "Success" if score >= 80 else "Fail"
print(result)
실행 결과
Success
파이썬 조건문 내에서의 부등식
- 다른 프로그래밍 언어와 다르게 파이썬은 조건문 안에서 수학의 부등식을 그대로 사용할 수 있음
- 예를 들어 x > 0 and x < 20 과 0 < x < 20은 같은 결과를 반환함
코드 스타일 1
x = 15
if x > 0 and x < 20:
print("x는 0 이상 20 미만의 수입니다)
코드 스타일 2
x = 15
if 0 < x < 20:
print("x는 0 이상 20 미만의 수입니다")
- 본 책에서는 다른 언어를 다룰 때 햇갈리지 않도록 x > 0 and x < 20와 같이 비교 연산자 사이에
and, or 등의 연산자가 들어가는 형태의 코드를 이용함
반복문
- 특정한 소스코드를 반복적으로 실행하고자 할 때 사용하는 문법
- 파이썬에서는
while문과for문이 있는데 어떤 것을 사용해도 상관 없음- 다만 코딩 테스트에서의 실제 사용 예시를 확인해 보면
for문이 더 간결한 경우가 많음
- 다만 코딩 테스트에서의 실제 사용 예시를 확인해 보면
1부터 9까지 모든 정수의 합 구하기 예제 1 (while문)
i = 1
result = 0
# i가 9보다 작거나 같을 때 아래 코드를 반복적으로 실행
while i <= 9:
result += i
i += 1
print(result)
실행 결과
45
1부터 9까지 홀수의 합 구하기 예제 2 (while문)
i = 1
result = 0
# i가 9보다 작거나 같을 때 아래 코드를 반복적으로 실행
while i <= 9:
if i % 2 == 1:
result += i
i += 1
print(result)
실행 결과
25
반복문에서의 무한 루프
- 무한 루프(Infinite Loop)란 끊임없이 반복되는 반복 구문을 의미함
- 코딩 테스트에서 무한 루프를 구현할 일은 거의 없으니 유의해야 함
- 반복문을 작성한 뒤엔 항상 반복문을 탈출할 수 있는지 확인
x = 10
while x > 5:
print(x)
실행 결과
10
10
10
10
10
10
...
(중략)
반복문: for문
- 반복문으로
for문을 이용할 수도 있음 for문의 구조는 다음과 같은데 특정한 변수를 이용하여in뒤에 오는 데이터(리스트, 튜플 등)에 포함되어 있는 원소를 첫 번째 인덱스부터 차레대로 하나씩 방문함
for 변수 in 리스트:
실행할 소스코드
array = [9, 8, 7, 6, 5]
for x in array:
print(x)
실행 결과
9
8
7
6
5
for문에서 연속적인 값을 차례대로 순회할 때는 range()를 주로 사용함- 이때 range(시작 값, 끝 값 + 1) 형태로 사용
- 인자를 하나만 넣으면 자동으로 시작 값은 0이 됨
result = 0
# i는 1부터 9까지의 모든 값을 순회
for i in range(1, 10):
result += i
print(result)
실행 결과
45
1 부터 30까지 모든 정수의 합 구하기 예제 (for문)
result = 0
for i in range(1, 31):
result += i
print(result)
실행 결과
465
파이썬의 continue 키워드
- 반복문에서 남은 코드의 실행을 건너뛰고 다음 반복을 진행하고자 할 때 continue를 사용
- 1부터 9까지의 홀수의 합을 구할 때 다음과 같이 작성할 수 있음
result = 0
for i in range(1, 10):
if i % 2 == 0:
continue
result += i
print(result)
실행 결과
25
파이썬의 break 키워드
- 반복문을 즉시 탈출하고자 할 때 break를 사용
- 1부터 5까지의 정수를 차례대로 출력하고자 할 때 다음과 같이 작성할 수 있음
i = 1
while True:
print("현재 i의 값:", i)
if i == 5:
break
i += 1
실행 결과
현재 i의 값: 1
현재 i의 값: 2
현재 i의 값: 3
현재 i의 값: 4
현재 i의 값: 5
학생들의 합격 여부 판단 예제 1) 점수가 80점만 넘으면 합격
scores = [90, 85, 77, 65, 97]
for i in range(5):
if scores[i] >= 80:
print(i + 1, "번 학생은 합격입니다")
실행 결과
1 번 학생은 합격입니다
2 번 학생은 합격입니다
5 번 학생은 합격입니다
학생들의 합격 여부 판단 예제 2) 특정 번호의 학생은 제외하기
scores = [90, 85, 77, 65, 97]
cheating_student_list = {2, 4}
for i in range(5):
if i + 1 in cheating_student_list:
continue
if scores[i] >= 80:
print(i + 1, "번 학생은 합격입니다")
실행 결과
1 번 학생은 합격입니다
5 번 학생은 합격입니다
중첩된 반복문: 구구단 예제
for i in range(2, 10):
for j in range(1, 10):
print(i, "X", j, "=", i * j)
print()
실행 결과
2 X 1 = 2
2 X 2 = 4
2 X 3 = 6
2 X 4 = 8
2 X 5 = 10
2 X 6 = 12
2 X 7 = 14
2 X 8 = 16
2 X 9 = 18
3 X 1 = 3
3 X 2 = 6
3 X 3 = 9
3 X 4 = 12
3 X 5 = 15
...
(중략)
함수와 람다 표현식
함수
- 함수(Function)란 특정한 작업을 하나의 단위로 묶어 놓은 것을 의미
- 함수를 사용하면 불필요한 소스코드의 반복을 줄일 수 있음
함수의 종류
- 내장 함수: 파이썬이 기본적으로 제공하는 함수
- 사용자 정의 함수: 개발자가 직접 정의하여 사용할 수 있는 함수
함수 정의하기
- 프로그램에는 똑같은 코드가 반복적으로 사용되어야 할 때가 많음
- 함수를 사용하면 소스코드의 길이를 줄일 수 있음
- 매개변수: 함수 내부에서 사용할 변수
- 반환 값: 함수에서 처리 된 결과를 반환
def 함수명(매개변수):
실행할 소스코드
return 반환 값
더하기 함수 예시
더하기 함수 예시 1)
def add(a, b):
return a + b
print(add(3, 7))
실행 결과
10
더하기 함수 예시 2)
def add(a, b):
print('함수의 결과:', a + b)
add(3, 7)
실행 결과
함수의 결과: 10
파라미터 지정하기
- 파라미터의 변수를 직접 지정할 수 있음
- 이 경우 매개변수의 순서가 달라도 상관이 없음
def add(a, b):
print('함수의 결과:', a + b)
add(b = 3, a = 7)
실행 결과
함수의 결과ㅣ 10
global 키워드
global키워드로 변수를 지정하면 해당 함수에서는 지역 변수를 만들지 않고 함수 바깥에 선언된 변수를 바로 참조하게 됨
a = 0
def func():
global a
a += 1
for i in range(10):
func()
print(a)
실행 결과
10
여러 개의 반환 값
- 파이썬에서 함수는 여러 개의 반환 값을 가질 수 있음
def operator(a, b):
add_var = a + b
subtract_var = a - b
multiply_var = a * b
divide_var = a / b
return add_var, subtract_var, multiply_var, divide_var
a, b, c, d = operator(7, 3)
print(a, b, c, d)
실행 결과
10 4 21 2.3333333333333335
람다 표현식
- 람다 표현식을 이용하면 함수를 간단하게 작성할 수 있음
- 특정한 기능을 수행하는 함수를 한 줄에 작성할 수 있다는 점이 특징임
def add(a, b):
return a + b
# 일반적인 add() 메서드 사용
print(add(3, 7))
# 람다 표현식으로 구현한 add() 메서드
print((lambda a, b: a + b)(3, 7))
실행 결과
10
10
람다 표현식 예시: 내장 함수에서 자주 사용되는 람다 함수
array = [('홍길동', 50), ('이순신', 32), ('아무개', 74)]
def my_key(x):
return x[1]
print(sorted(array, key=my_key))
print(sorted(array, key=lambda x: x[1]))
실행 결과
[('이순신', 32), ('홍길동', 50), ('아무개', 74)]
[('이순신', 32), ('홍길동', 50), ('아무개', 74)]
람다 표현식 예시: 여러 개의 리스트에 적용
list1 = [1, 2, 3, 4, 5]
list2 = [6, 7, 8, 9, 10]
result = map(lambda a, b: a + b, list1, list2)
print(list(result))
실행 결과
[7, 9, 11, 13, 15]
실전에서 유용한 표준 라이브러리
- 내장 함수: 기본 입출력 함수 부터 정렬 함수까지 기본적인 함수들을 제공
- 파이썬 프로그램을 작성할 때 없어서는 안 되는 필수적인 기능을 포함하고 있음
- itertools: 파이썬에서 반복되는 형태의 데이터를 처리하기 위한 유용한 기능들을 제공
- 특히 순열의 조합 라이브러리는 코딩 테스트에서 자주 사용됨
- heapq: 힙(Heap) 자료구조를 제공
- 일반적으로 우선순위 큐 기능을 구현하기 위해 사용
- bisect: 이진 탐색(Binary Search) 기능을 제공
- collections: 덱(deque), 카운터(Counter) 등의 유용한 자료구조를 포함
- math: 필수적인 수학적 기능을 제공함
- 팩토리얼, 제곱근, 최대공약수(GCD), 삼각함수 관련 함수부터 파이(pi)와 같은 상수를 포함
자주 사용되는 내장함수
# sum()
result = sum([1, 2, 3, 4, 5])
print(result)
# min(), max()
min_result = min(7, 3, 5, 2)
max_result = max(7, 3, 5, 2)
print(min_result, max_result)
# eval()
result = eval("(3+5)*7")
print(result)
실행 결과
15
2 7
56
# sorted()
result = sorted([9, 1, 8, 5, 4])
reverse_result = sorted([9, 1, 8, 5, 4], reverse=True)
print(result)
print(reverse_result)
# sorted() with key
array = [('홍길동', 35), ('이순신', 75), ('아무개', 50)]
result = sorted(array, key=lambda x: x[1], reverse=True)
print(result)
실행 결과
[1, 4, 5, 8, 9]
[9, 8, 5, 4, 1]
[('이순신', 75), ('아무개', 50), ('홍길동', 35)]
순열과 조합
-
모든 경우의 수를 고려해야 할 때 어떤 라이브러리를 효과적으로 사용할 수 있을까?
-
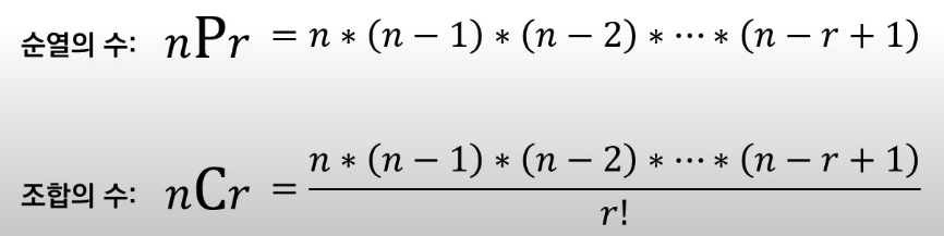
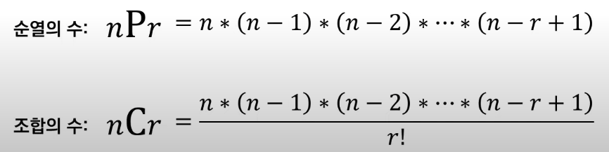
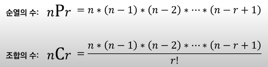
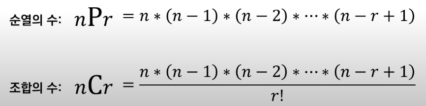
순열: 서로 다른 𝑛개에서 서로 다른 𝑟개를 선택하여 일렬로 나열하는 것
- {'A', 'B', 'C'}에서 세 개를 선택하여 나열하는 경우: 'ABC', 'ACB', 'BAC', 'BCA', 'CAB', 'CBA'
from itertools import permutations data = ['A', 'B', 'C'] # 데이터 준비 result = list(permutations(data, 3)) # 모든 순열 구하기 print(result)실행 결과
[('A', 'B', 'C'), ('A', 'C', 'B'), ('B', 'A', 'C'), ('B', 'C', 'A'), ('C', 'A', 'B'), ('C', 'B', 'A')] -
조합: 서로 다른 𝑛개에서 순서에 상관 없이 서로 다른 𝑟개를 선택하는 것
- {'A', 'B', 'C'}에서 순서를 고려하지 않고 두 개를 뽑는 경우: 'AB', 'AC', 'BC'
from itertools import combinations data = ['A', 'B', 'C'] # 데이터 준비 result = list(combinations(data, 2)) # 2개를 뽑는 모든 조합 구하기 print(result)실행 결과
[('A', 'B'), ('A', 'C'), ('B', 'C')]

중복 순열과 중복 조합
# 중복 순열
from itertools import product
data = ['A', 'B', 'C'] # 데이터 준비
result = list(product(data, repeat=2)) # 2개를 뽑는 모든 순열 구하기 (중복 허용)
print('> 2개를 뽑는 모든 순열 구하기 (중복 허용)')
print(result)
# 중복 조합
from itertools import combinations_with_replacement
data = ['A', 'B', 'C'] # 데이터 준비
result = list(combinations_with_replacement(data, 2)) # 2개를 뽑는 모든 조합 구하기 (중복 허용)
print('> 2개를 뽑는 모든 조합 구하기 (중복 허용)')
print(result)
실행 결과
> 2개를 뽑는 모든 순열 구하기 (중복 허용)
[('A', 'A'), ('A', 'B'), ('A', 'C'), ('B', 'A'), ('B', 'B'), ('B', 'C'), ('C', 'A'), ('C', 'B'), ('C', 'C')]
> 2개를 뽑는 모든 조합 구하기 (중복 허용)
[('A', 'A'), ('A', 'B'), ('A', 'C'), ('B', 'B'), ('B', 'C'), ('C', 'C')]
Counter
- 파이썬
collections라이브러리의 Counter는 등장 횟수를 세는 기능을 제공함 - 리스트와 같은 반복 가능한(iterable) 객체가 주어졌을 때 내부의 원소가 몇 번씩 등장했는지를 알려줌
from collections import Counter
counter = Counter(['red', 'blue', 'red', 'green', 'blue', 'blue'])
print(counter['blue']) # 'blue'가 등장한 횟수 출력
print(counter['green']) # 'green'이 등장한 횟수 출력
print(dict(counter)) # 사전 자료형으로 반환
실행 결과
3
1
{'red': 2, 'blue': 3, 'green': 1}
최대 공약수와 최소 공배수
- 최대 공약수를 구해야 할 때는
math라이브러리의gcd()함수를 이용할 수 있음
import math
# 최소 공배수(LCM)를 구하는 함수
def lcm(a, b):
return a * b // math.gcd(a, b)
a = 21
b = 14
print(math.gcd(21, 14)) # 최대 공약수(GCD) 계산
print(lcm(21, 14)) # 최소 공배수(LCM) 계산
실행 결과
7
42'CodingTest' 카테고리의 다른 글
| [이것이 코딩 테스트다] 6. 다이나믹 프로그래밍 (0) | 2020.10.04 |
|---|---|
| [이것이 코딩 테스트다] 5. 이진 탐색 (0) | 2020.10.04 |
| [이것이 코딩 테스트다] 4. 정렬 알고리즘 (0) | 2020.10.04 |
| [이것이 코딩 테스트다] 3. DFS & BFS (0) | 2020.10.03 |
| [이것이 코딩 테스트다] 2. 그리디 & 구현 (0) | 2020.10.03 |
댓글