728x90
www.youtube.com/watch?v=7C9RgOcvkvo&list=PLRx0vPvlEmdAghTr5mXQxGpHjWqSz0dgC&index=3
그래프 탐색 알고리즘: DFS/BFS
- 탐색(Search)이란 많은 양의 데이터 중에서 원하는 데이터를 찾는 과정을 말한다
- 대표적인 그래프 탐색 알고리즘으로는 DFS와 BFS가 있다
- DFS/BFS는 코딩 테스트에서 매우 자주 등장하는 유형이므로 반드시 숙지해야 한다
스택 자료구조
- 먼저 들어 온 데이터가 나중에 나가는 형식(선입후출)의 자료구조이다
- 입구와 출구가 동일한 형태로 스택을 시각화할 수 있다

스택 동작 예시
- 삽입(5) - 삽입(2) - 삽입(3) - 삽입(7) - 삭제() - 삽입(1) - 삽입(4) - 삭제()

- 삽입(5) - 삽입(2) - 삽입(3) - 삽입(7) - 삭제() - 삽입(1) - 삽입(4) - 삭제()

- 삽입(5) - 삽입(2) - 삽입(3) - 삽입(7) - 삭제() - 삽입(1) - 삽입(4) - 삭제()

- 삽입(5) - 삽입(2) - 삽입(3) - 삽입(7) - 삭제() - 삽입(1) - 삽입(4) - 삭제()

- 삽입(5) - 삽입(2) - 삽입(3) - 삽입(7) - 삭제() - 삽입(1) - 삽입(4) - 삭제()

- 삽입(5) - 삽입(2) - 삽입(3) - 삽입(7) - 삭제() - 삽입(1) - 삽입(4) - 삭제()

- 삽입(5) - 삽입(2) - 삽입(3) - 삽입(7) - 삭제() - 삽입(1) - 삽입(4) - 삭제()

- 삽입(5) - 삽입(2) - 삽입(3) - 삽입(7) - 삭제() - 삽입(1) - 삽입(4) - 삭제()

스택 구현 예제 (Python)
stack = []
# 삽입(5) - 삽입(2) - 삽입(3) - 삽입(7) - 삭제() - 삽입(1) - 삽입(4) - 삭제()
stack.append(5)
stack.append(2)
stack.append(3)
stack.append(7)
stack.pop()
stack.append(1)
stack.append(4)
stack.pop()
print(stack) # 최하단 원소부터 출력
print(stack[::-1]) # 최상단 원소부터 출력
실행 결과
[5, 2, 3, 1]
[1, 3, 2, 5]
스택 구현 예제 (Java)
import java.util.*;
public class Main {
public static void main(String[] args) {
Stack<Integer> s = new Stack<>();
// 삽입(5) - 삽입(2) - 삽입(3) - 삽입(7) - 삭제() - 삽입(1) - 삽입(4) - 삭제()
s.push(5);
s.push(2);
s.push(3);
s.push(7);
s.pop();
s.push(1);
s.push(4);
s.pop();
// 스택의 최상단 원소부터 출력
while (!s.empty()) {
System.out.println(s.peek());
s.pop();
}
}
}
실행 결과
1 3 2 5
큐 자료구조
- 먼저 들어 온 데이터가 먼저 나가는 형식(선입선출)의 자료구조이다
- 큐는 입구와 출구가 모두 뚫려 있는 터널과 같은 형태로 시각화 할 수 있다

큐 동작 예시
- 삽입(5) - 삽입(2) - 삽입(3) - 삽입(7) - 삭제() - 삽입(1) - 삽입(4) - 삭제()

- 삽입(5) - 삽입(2) - 삽입(3) - 삽입(7) - 삭제() - 삽입(1) - 삽입(4) - 삭제()

- 삽입(5) - 삽입(2) - 삽입(3) - 삽입(7) - 삭제() - 삽입(1) - 삽입(4) - 삭제()

- 삽입(5) - 삽입(2) - 삽입(3) - 삽입(7) - 삭제() - 삽입(1) - 삽입(4) - 삭제()

- 삽입(5) - 삽입(2) - 삽입(3) - 삽입(7) - 삭제() - 삽입(1) - 삽입(4) - 삭제()

- 삽입(5) - 삽입(2) - 삽입(3) - 삽입(7) - 삭제() - 삽입(1) - 삽입(4) - 삭제()

- 삽입(5) - 삽입(2) - 삽입(3) - 삽입(7) - 삭제() - 삽입(1) - 삽입(4) - 삭제()

- 삽입(5) - 삽입(2) - 삽입(3) - 삽입(7) - 삭제() - 삽입(1) - 삽입(4) - 삭제()

- 삽입(5) - 삽입(2) - 삽입(3) - 삽입(7) - 삭제() - 삽입(1) - 삽입(4) - 삭제()

큐 구현 예제 (Python)
from collections import deque
# 큐(Queue) 구현을 위해 deque 라이브러리 사용
queue = deque()
# 삽입(5) - 삽입(2) - 삽입(3) - 삽입(7) - 삭제() - 삽입(1) - 삽입(4) - 삭제()
queue.append(5)
queue.append(2)
queue.append(3)
queue.append(7)
queue.popleft()
queue.append(1)
queue.append(4)
queue.popleft()
print(queue) # 먼저 들어온 순서대로 출력
queue.reverse() # 다음 출력을 위해 역순으로 바꾸기
print(queue) # 나중에 들어온 원소부터 출력
실행 결과
deque([3, 7, 1, 4])
deque([4, 1, 7, 3])
큐 구현 예제 (Java)
import java.util.*;
public class Main {
public static void main(String[] args) {
Queue<Integer> q = new LinkedList<>();
// 삽입(5) - 삽입(2) - 삽입(3) - 삽입(7) - 삭제() - 삽입(1) - 삽입(4) - 삭제()
q.offer(5);
q.offer(2);
q.offer(3);
q.offer(7);
q.poll();
q.offer(1);
q.offer(4);
q.poll();
// 먼저 들어온 원소부터 추출
while (!q.isEmpty()) {
System.out.println(q.poll());
}
}
}
실행 결과
3 7 1 4
재귀 함수
-
재귀 함수(Recursive Function)란 자기 자신을 다시 호출하는 함수를 의미한다
-
단순한 형태의 재귀 함수 예제
- '재귀 함수를 호출합니다'라는 문자열을 무한히 출력한다
- 어느정도 출력하다가 최대 재귀 깊이 초과 메세지가 출력된다
def recursive_function(): print('재귀 함수를 호출합니다') recursive_function() recursive_function()
재귀 함수의 종료 조건
-
재귀 함수를 문제 풀이에서 사용할 때는 재귀 함수의 종료 조건을 반드시 명시해야 합니다
-
종료 조건을 제대로 명시하지 않으면 함수가 무한히 호출될 수 있다
- 종료 조건을 포함한 재귀 함수 예제
def recursive_function(i): # 100번째 호출을 했을 때 종료되도록 종료 조건 명시 if i== 100: return print(i, '번째 재귀함수에서', i + 1, '번째 재귀함수를 호출합니다') recursive_function(i + 1) print(i, '번째 재귀함수를 종료합니다') recursive_function(1)
팩토리얼 구현 예제
- 𝑛! = 1 × 2 × 3 × ・・・ × (𝑛 - 1) × 𝑛
- 수학적으로 0!과 1!의 값은 1이다
# 반복적으로 구현한 n!
def factorial_iterative(n):
result = 1
# 1부터 n까지의 수를 차례대로 곱하기
for i in range(1, n + 1):
result *= i
return result
# 재귀적으로 구현한 n!
def factorial_recursive(n):
if n <= 1: # n이 1 이하인 경우 1을 반환
return 1
# n! = n * (n - 1)!를 그대로 코드로 작성하기
return n * factorial_recursive(n - 1)
# 각각의 방식으로 구현한 n! 출력(n = 5)
print('반복적으로 구현:', factorial_iterative(5))
print('재귀적으로 구현:', factorial_recursive(5))
실행 결과
반복적으로 구현: 120
재귀적으로 구현: 120
최대공약수 계산 (유클리드 호제법) 예제
- 두 개의 자연수에 대한 최대공약수를 구하는 대표적인 알고리즘으로는 유클리드 호제법이 있다
- 유클리드 호제법
- 두 자연수 A, B에 대하여 (A > B) A를 B로 나눈 나머지를 R이라고 하자
- 이때 A와 BA의 최대공약수는 B와 R의 최대공약수와 같다
- 유클리드 호제법의 아이디어를 그대로 재귀 함수로 작성할 수 있다
- 예시: GCD(192, 162)
| 단계 | A | B |
|---|---|---|
| 1 | 192 | 162 |
| 2 | 162 | 30 |
| 3 | 30 | 12 |
| 4 | 12 | 6 |
def gcd(a, b):
if a % b == 0:
return b
else:
return gcd(b, a % b)
print(gcd(192, 162))
재귀 함수 사용의 유의 사항
- 재귀 함수를 잘 활용하면 복잡한 알고리즘을 간결하게 작성할 수 있다
- 단, 오히려 다른 사람이 이해하기 어려운 형태의 코드가 될 수도 있으므로 신중하게 사용해야 한다
- 모든 재귀 함수는 반복문을 이용하여 동일한 기능을 구현할 수 있다
- 재귀 함수가 반복문보다 유리한 경우도 있고 불리한 경우도 있다
- 컴퓨터가 함수를 연속적으로 호출하면 컴퓨터 메모리 내부의 스택 프레임에 쌓인다
- 그래서 스택을 사용해야 할 때 구현상 스택 라이브러리 대신에 재귀 함수를 이용하는 경우가 많다
DFS (Depth-First Search)
- DFS는 깊이 우선 탐색이라고도 부르며 그래프에서 깊은 부분을 우선적으로 탐색하는 알고리즘이다
- DFS는 스택 자료구조(혹은 재귀 함수)를 이용하며, 구체적인 동작 과정은 다음과 같다
- 탐색 시작 노드를 스택에 삽입하고 방문 처리를 한다
- 스택의 최상단 노드에 방문하지 않은 인접한 노드가 하나라도 있으면 그 노드를 스택에 넣고 방문 처리한다
방문하지 않은 인접 노드가 없으면 스택에서 최상단 노드를 꺼낸다 - 더 이상 2번의 과정을 수행할 수 없을 때까지 반복한다
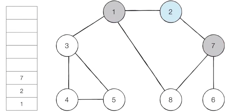
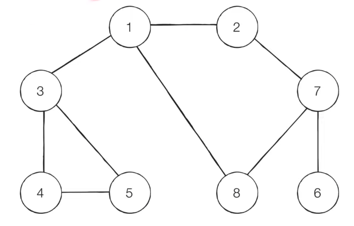
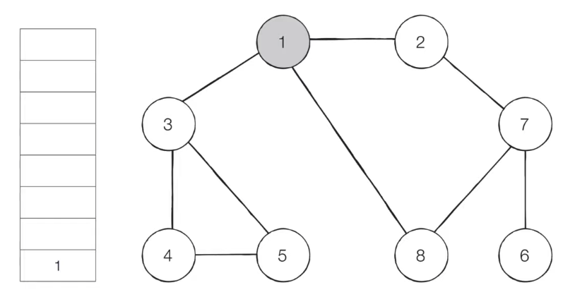
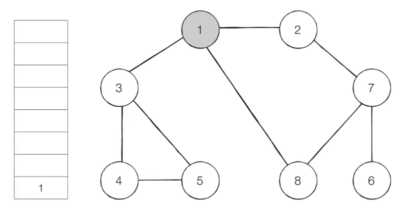
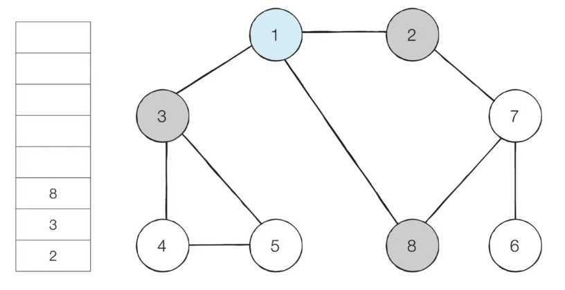
DFS 동작 예시
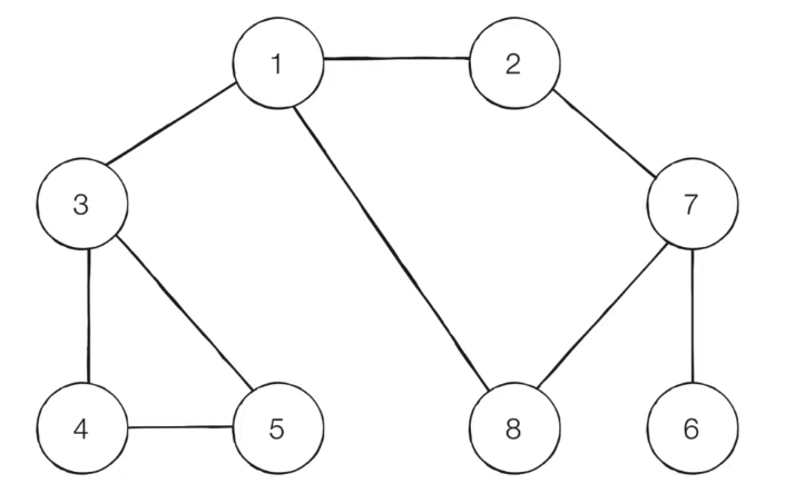
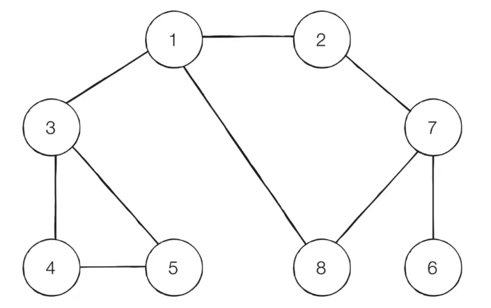
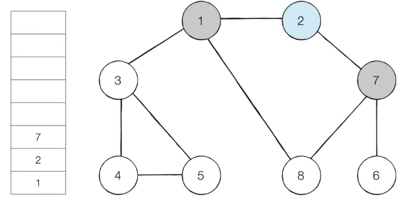
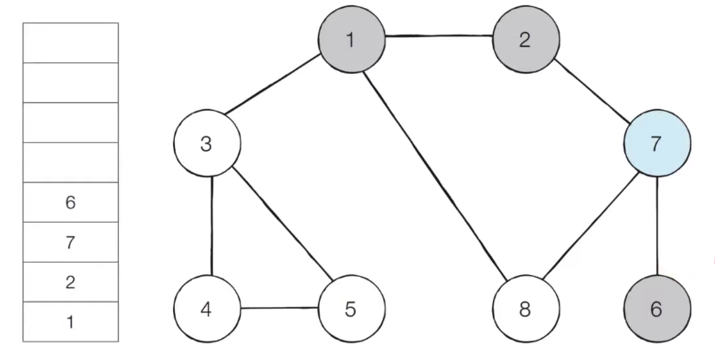
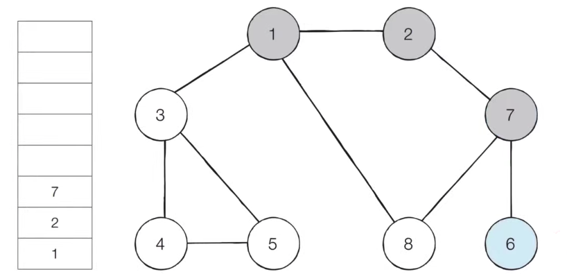
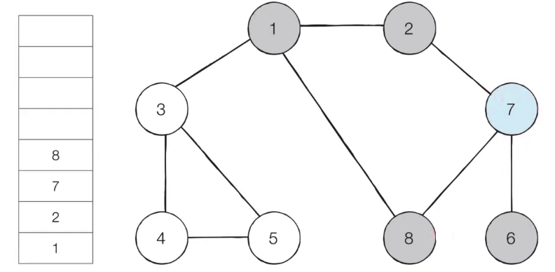
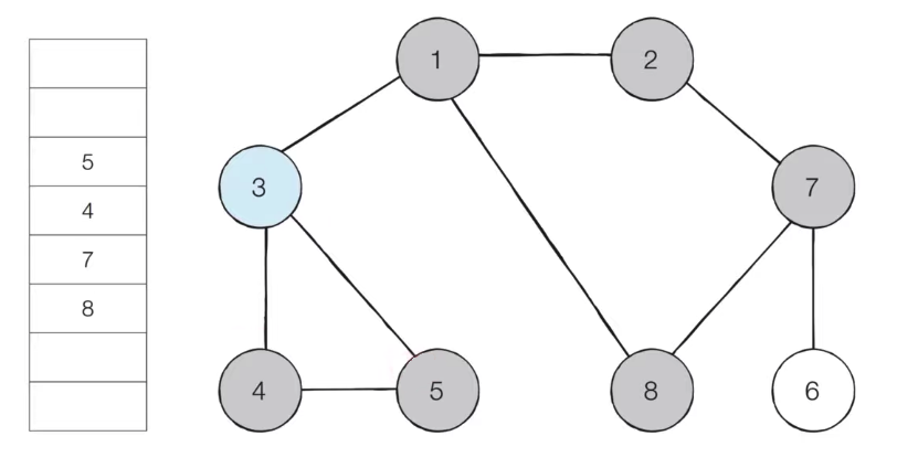
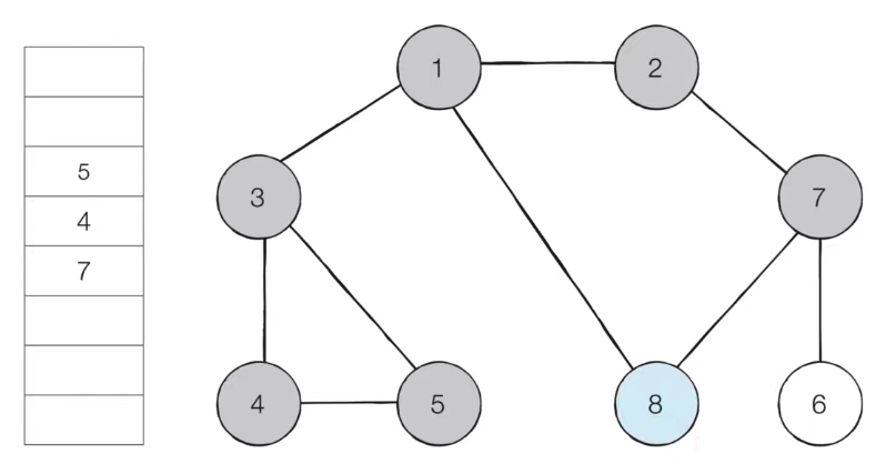
- [Step 0] 그래프를 준비한다 (방문 기준: 번호가 낮은 인접 노드 부터)
- 시작 노드: 1

- [Step 1] 시작 노드인 '1'을 스택에 삽입하고 방문 처리 한다

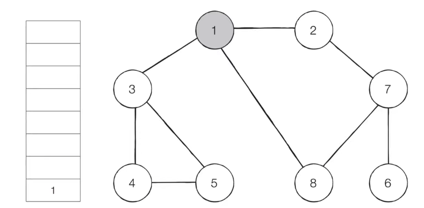
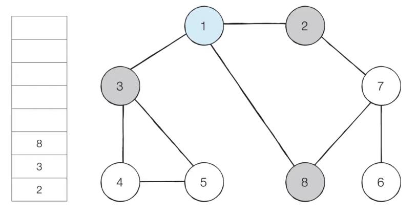
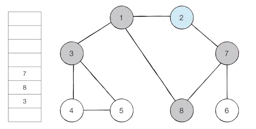
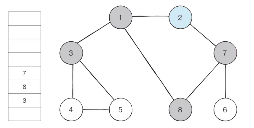
- [Step 2] 스택의 최상단 노드인 '1'에 방문하지 않은 인접 노드 '2', '3', '8'이 있다
- 이 중에서 가장 작은 노드인 '2'를 스택에 넣고 방문 처리를 한다

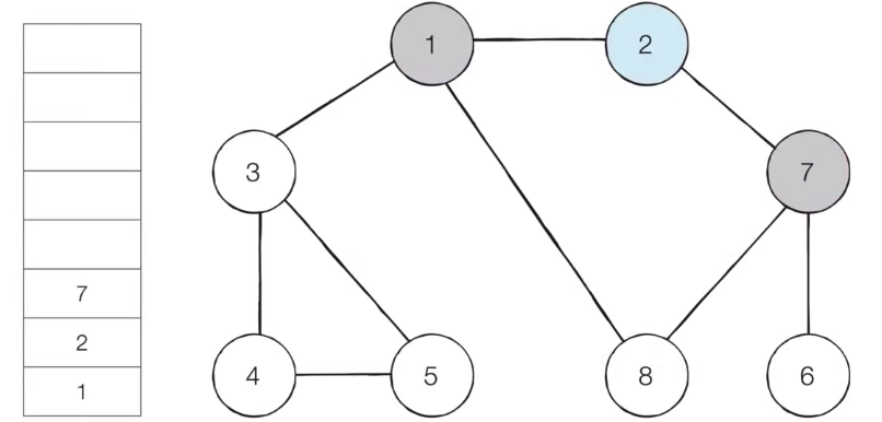
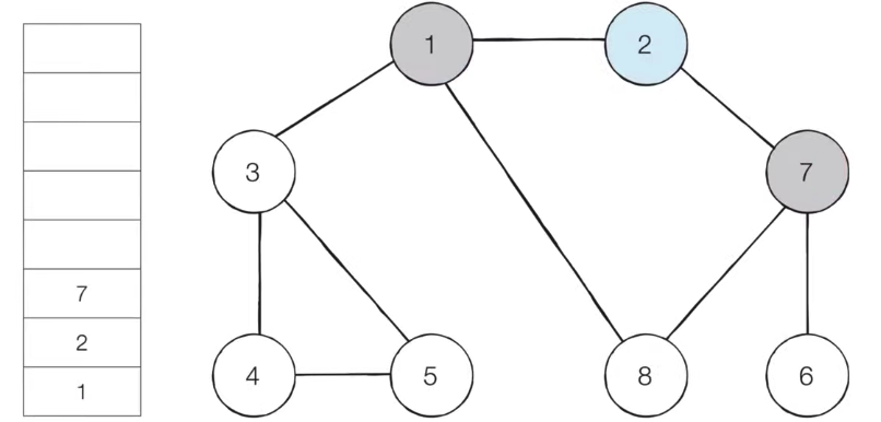
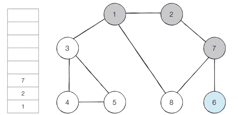
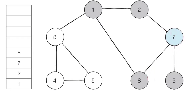
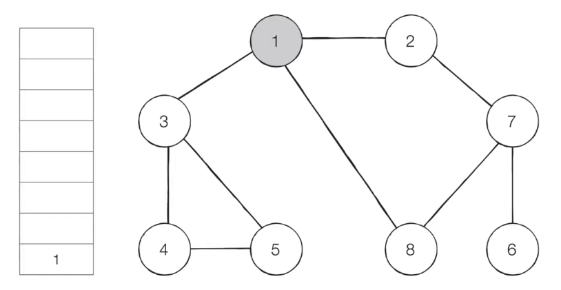
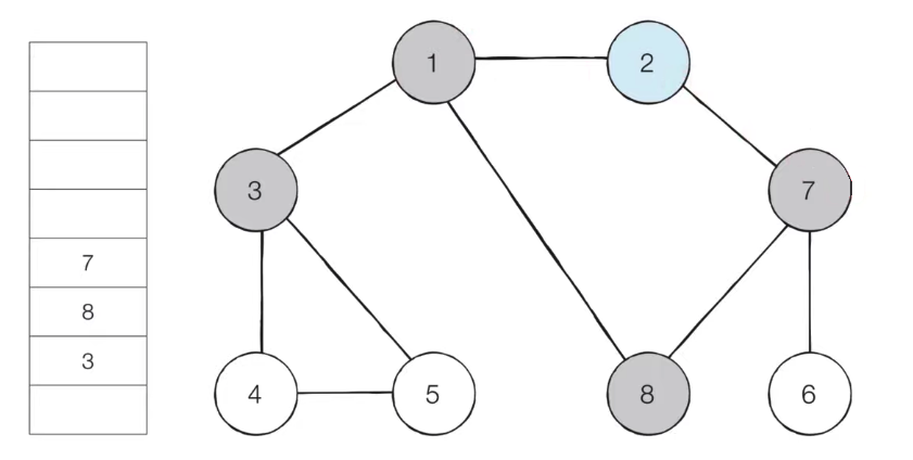
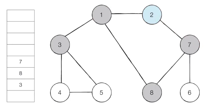
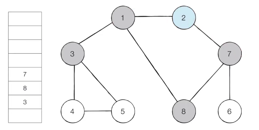
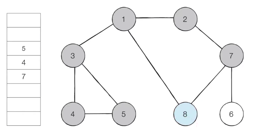
- [Step 3] 스택의 최상단 노드인 '2'에 방문하지 않은 인접 노드 '7'이 있다
- 따라서 '7'번 노드를 스택에 넣고 방문 처리를 한다

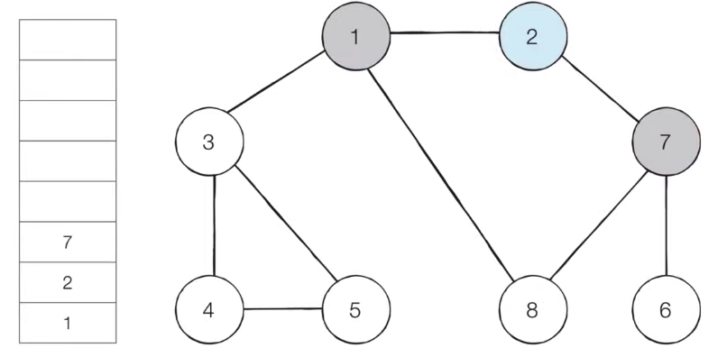
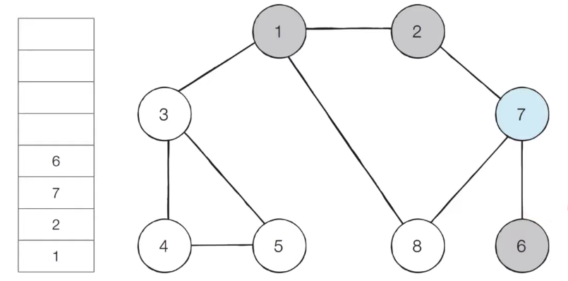
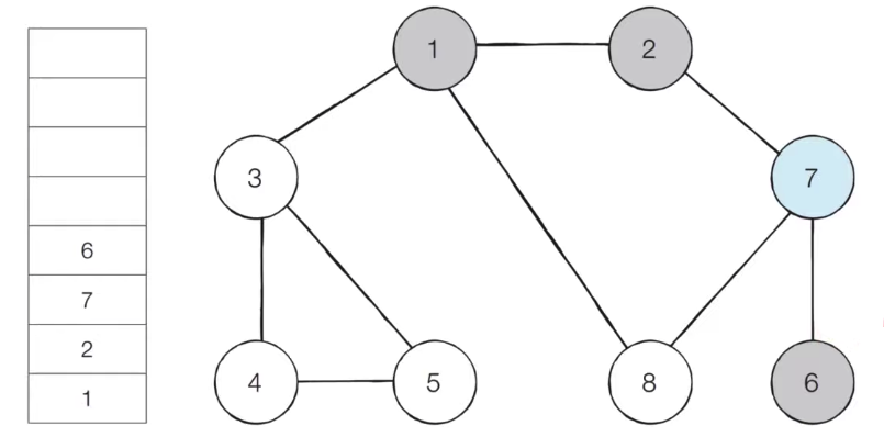
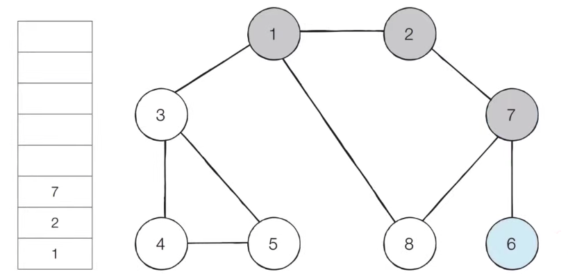
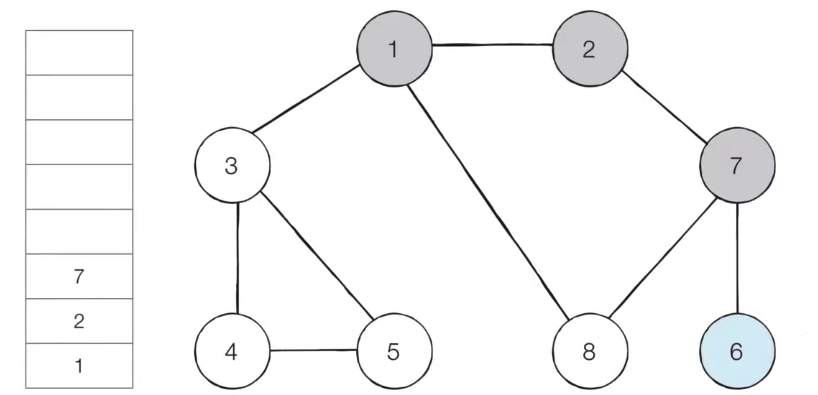
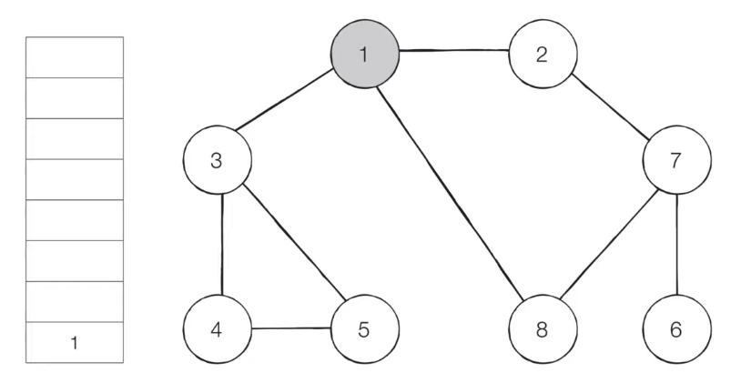
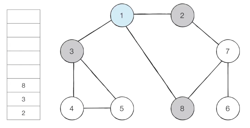
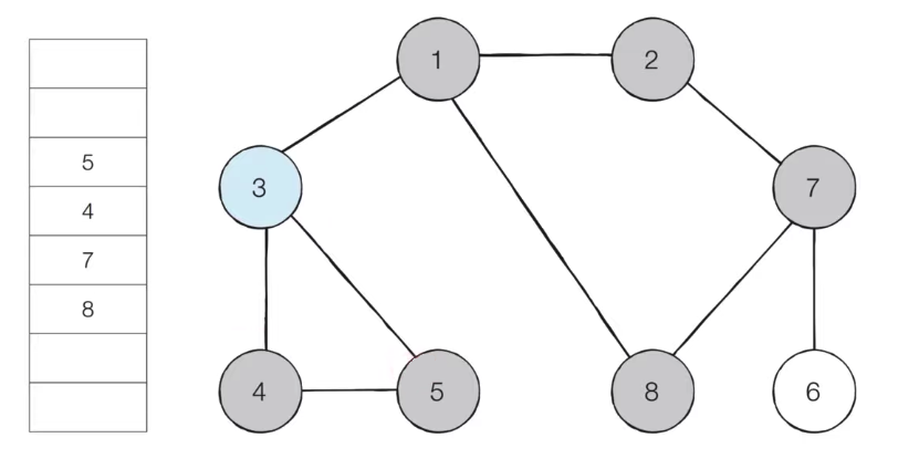
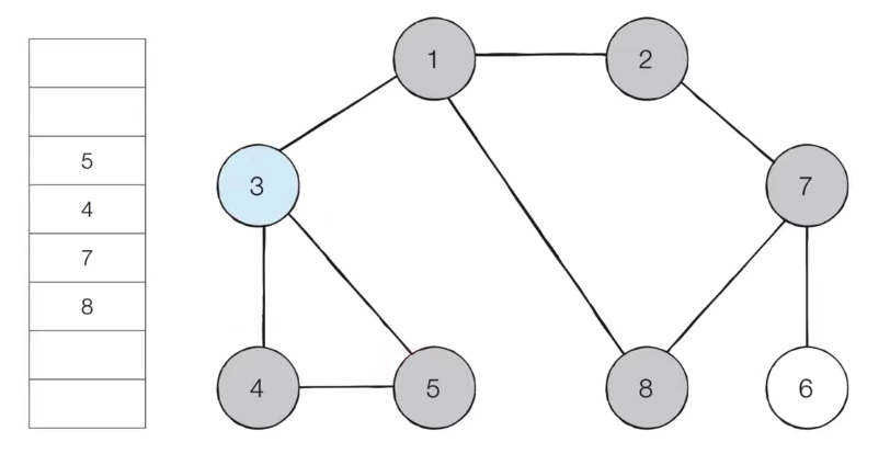
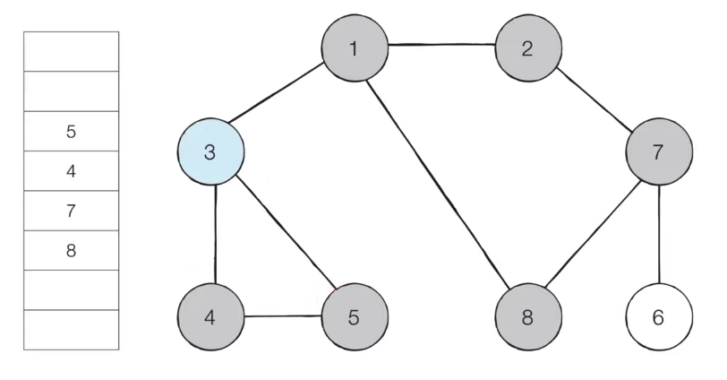
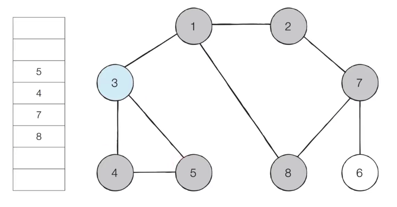
- [Step 4] 스택의 최상단 노드인 '7'에 방문하지 않은 인접 노드 '6', '8'이 있다
- 이 중에서 가장 작은 노드인 '6'을 스택에 넣고 방문 처리를 한다

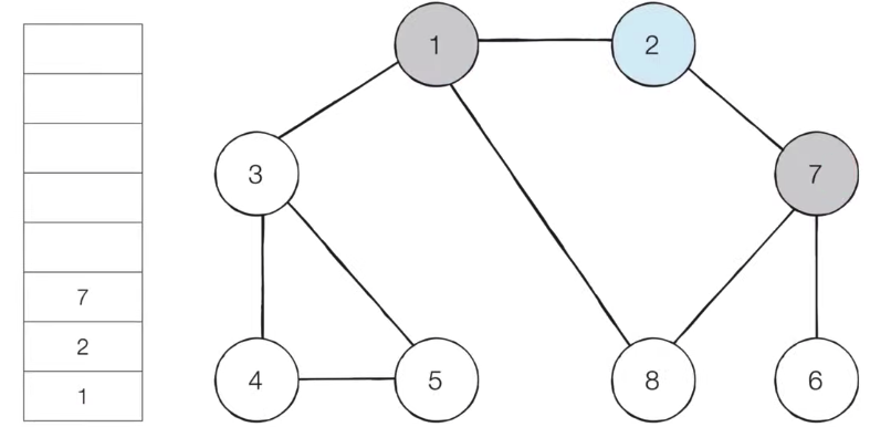
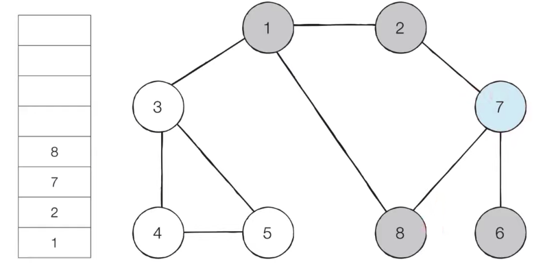
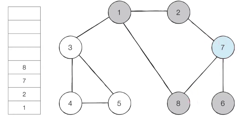
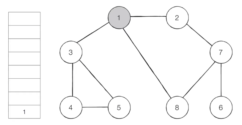
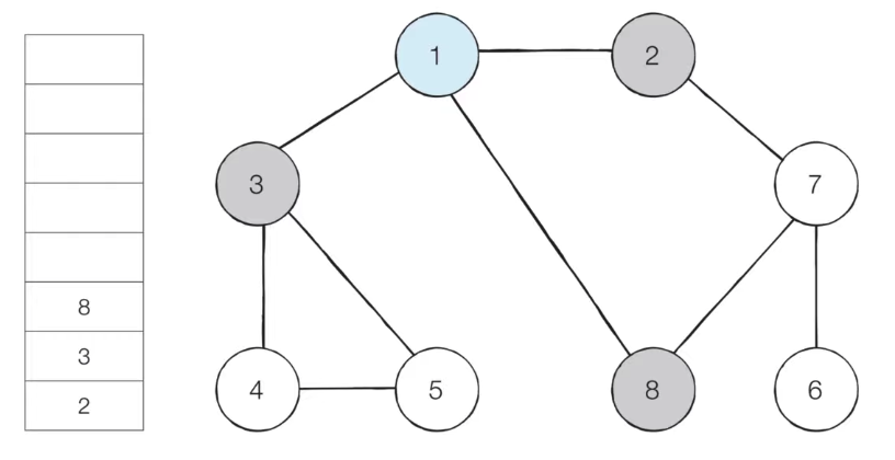
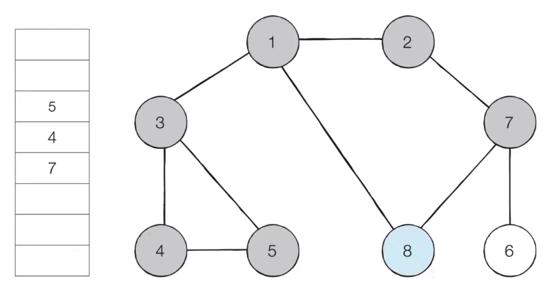
- [Step 5] 스택의 최상단 노드인 '6'에 방문하지 않은 인접 노드가 없다
- 따라서 스택에서 '6'번 노드를 꺼낸다

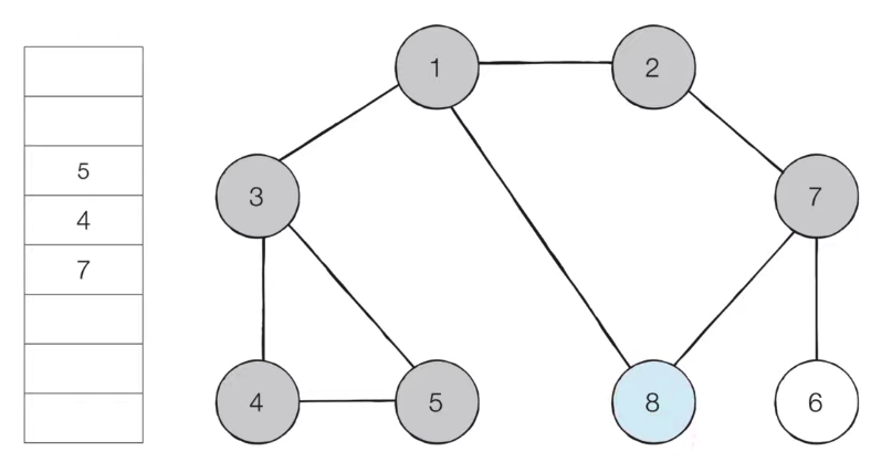
- [Step 6] 스택의 최상단 노드인 '7'에 방문하지 않은 인접 노드 '8'이 있다
- 따라서 '8'번 노드를 스택에 넣고 방문 처리를 한다

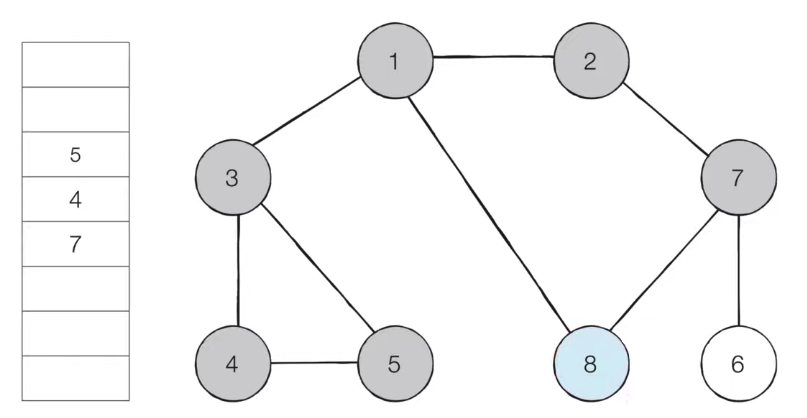
- 이러한 과정을 반복하였을 때 전체 노드의 탐색 순서(스택에 들어간 순서)는 다음과 같다

DFS 소스코드 예제 (Python)
# DFS 함수 정의
def dfs(graph, v, visited):
# 현재 노드를 방문 처리
visited[v] = True
print(v, end=' ')
# 현재 노드와 연결된 다른 노드를 재귀적으로 방문
for i in graph[v]:
if not visited[i]:
dfs(graph, i, visited)
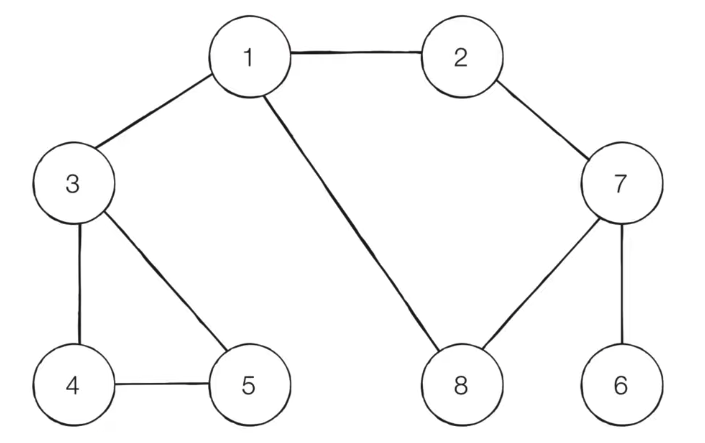
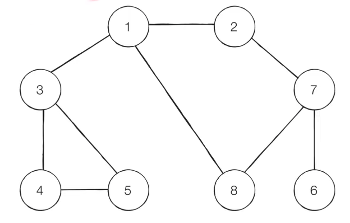
# 각 노드가 연결된 정보를 리스트 자료형으로 표현(2차원 리스트)
graph = [
[],
[2, 3, 8],
[1, 7],
[1, 4, 5],
[3, 5],
[3, 4],
[7],
[2, 6, 8],
[1, 7]
]
# 각 노드가 방문된 정보를 리스트 자료형으로 표현(1차원 리스트)
visited = [False] * 9
# 정의된 DFS 함수 호출
dfs(graph, 1, visited)
실행 결과
1 2 7 6 8 3 4 5
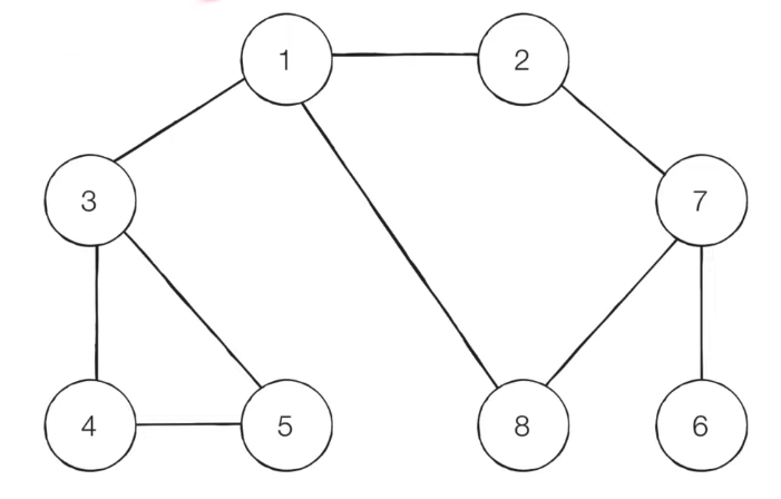
DFS 소스코드 예제 (Java)
import java.util.*;
public class Main {
public static boolean[] visited = new boolean[9];
public static ArrayList<ArrayList<Integer>> graph = new ArrayList<ArrayList<Integer>>();
// DFS 함수 정의
public static void dfs(int x) {
// 현재 노드를 방문 처리
visited[x] = true;
System.out.print(x + " ");
// 현재 노드와 연결된 다른 노드를 재귀적으로 방문
for (int i = 0; i < graph.get(x).size(); i++) {
int y = graph.get(x).get(i);
if (!visited[y]) dfs(y);
}
}
public static void main(String[] args) {
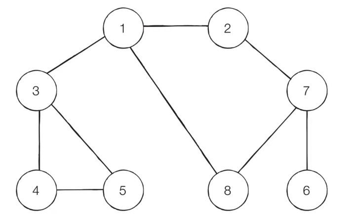
// 그래프 초기화
for (int i = 0; i < 9; i++) {
graph.add(new ArrayList<Integer>());
}
// 노드 1에 연결된 노드 정보 저장
graph.get(1).add(2);
graph.get(1).add(3);
graph.get(1).add(8);
// 노드 2에 연결된 노드 정보 저장
graph.get(2).add(1);
graph.get(2).add(7);
// 노드 3에 연결된 노드 정보 저장
graph.get(3).add(1);
graph.get(3).add(4);
graph.get(3).add(5);
// 노드 4에 연결된 노드 정보 저장
graph.get(4).add(3);
graph.get(4).add(5);
// 노드 5에 연결된 노드 정보 저장
graph.get(5).add(3);
graph.get(5).add(4);
// 노드 6에 연결된 노드 정보 저장
graph.get(6).add(7);
// 노드 7에 연결된 노드 정보 저장
graph.get(7).add(2);
graph.get(7).add(6);
graph.get(7).add(8);
// 노드 8에 연결된 노드 정보 저장
graph.get(8).add(1);
graph.get(8).add(7);
dfs(1);
}
}
실행 결과
1 2 7 6 8 3 4 5
BFS (Breadth-First Search)
-
BFS는 너비 우선 탐색이라고도 부르며, 그래프에서 가까운 노드부터 우선적으로 탐색하는 알고리즘이다
-
BFS는 큐 자료구조를 이용하며, 구체적인 동작 과정은 다음과 같다
- 탐색 시작 노드를 큐에 삽입하고 방문 처리를 합니다
- 큐에서 노드를 꺼낸 뒤에 해당 노드의 인접 노드 중에서 방문하지 않은 노드를 모두 큐에 삽입하고 방문 처리한다
- 더 이상 2번의 과정을 수행할 수 없을 때까지 반복한다
-
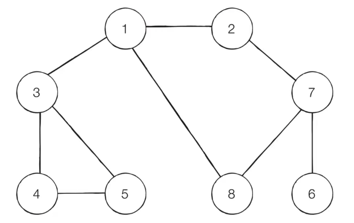
[Step 0] 그래프를 준비한다 (방문 기준: 번호가 낮은 인접 노드부터)
- 시작 노드: 1

- [Step 1] 시작 노드인 '1'을 큐에 삽입하고 방문 처리를 한다

- [Step 2] 큐에서 노드 '1'을 꺼내 방문하지 않은 인접 노드 '2', '3', '8'을 큐에 삽입하고 방문 처리한다

- [Step 3] 큐에서 노드 '2'를 꺼내 방문하지 않은 인접 노드 '7'을 큐에 삽입하고 방문 처리한다

- [Step 4] 큐에서 노드 '3'을 꺼내 방문하지 않은 인접 노드 '4', '5'를 큐에 삽입하고 방문 처리한다

- [Step 5] 큐에서 노드 '8'을 꺼내고 방문하지 않은 인접 노드가 없으므로 무시한다

- 이러한 과정을 반복하여 전체 노드의 탐색 순서(큐에 들어간 순서)는 다음과 같다

BFS 소스코드 예제 (Python)
from collections import deque
# BFS 함수 정의
def bfs(graph, start, visited):
# 큐(Queue) 구현을 위해 deque 라이브러리 사용
queue = deque([start])
# 현재 노드를 방문 처리
visited[start] = True
# 큐가 빌 때까지 반복
while queue:
# 큐에서 하나의 원소를 뽑아 출력
v = queue.popleft()
print(v, end=' ')
# 해당 원소와 연결된, 아직 방문하지 않은 원소들을 큐에 삽입
for i in graph[v]:
if not visited[i]:
queue.append(i)
visited[i] = True
# 각 노드가 연결된 정보를 리스트 자료형으로 표현(2차원 리스트)
graph = [
[],
[2, 3, 8],
[1, 7],
[1, 4, 5],
[3, 5],
[3, 4],
[7],
[2, 6, 8],
[1, 7]
]
# 각 노드가 방문된 정보를 리스트 자료형으로 표현(1차원 리스트)
visited = [False] * 9
# 정의된 BFS 함수 호출
bfs(graph, 1, visited)
실행 결과
1 2 3 8 7 4 5 6
BFS 소스코드 예제 (Java)
import java.util.*;
public class Main {
public static boolean[] visited = new boolean[9];
public static ArrayList<ArrayList<Integer>> graph = new ArrayList<ArrayList<Integer>>();
// BFS 함수 정의
public static void bfs(int start) {
Queue<Integer> q = new LinkedList<>();
q.offer(start);
// 현재 노드를 방문 처리
visited[start] = true;
// 큐가 빌 때까지 반복
while(!q.isEmpty()) {
// 큐에서 하나의 원소를 뽑아 출력
int x = q.poll();
System.out.print(x + " ");
// 해당 원소와 연결된, 아직 방문하지 않은 원소들을 큐에 삽입
for(int i = 0; i < graph.get(x).size(); i++) {
int y = graph.get(x).get(i);
if(!visited[y]) {
q.offer(y);
visited[y] = true;
}
}
}
}
public static void main(String[] args) {
// 그래프 초기화
for (int i = 0; i < 9; i++) {
graph.add(new ArrayList<Integer>());
}
// 노드 1에 연결된 노드 정보 저장
graph.get(1).add(2);
graph.get(1).add(3);
graph.get(1).add(8);
// 노드 2에 연결된 노드 정보 저장
graph.get(2).add(1);
graph.get(2).add(7);
// 노드 3에 연결된 노드 정보 저장
graph.get(3).add(1);
graph.get(3).add(4);
graph.get(3).add(5);
// 노드 4에 연결된 노드 정보 저장
graph.get(4).add(3);
graph.get(4).add(5);
// 노드 5에 연결된 노드 정보 저장
graph.get(5).add(3);
graph.get(5).add(4);
// 노드 6에 연결된 노드 정보 저장
graph.get(6).add(7);
// 노드 7에 연결된 노드 정보 저장
graph.get(7).add(2);
graph.get(7).add(6);
graph.get(7).add(8);
// 노드 8에 연결된 노드 정보 저장
graph.get(8).add(1);
graph.get(8).add(7);
bfs(1);
}
}
실행 결과
1 2 3 8 7 4 5 6
<문제> 음료수 얼려 먹기: 문제 설명
- N × M 크기의 얼음 틀이 있다. 구멍이 뚫려 있는 부분은 0, 칸막이가 존재하는 부분은 1로 표시된다.
구멍이 뚫려 있는 부분끼리 상, 하, 좌, 우로 붙어 있는 경우 서로 연결되어 있는 것으로 간주한다.
이때 얼음 틀의 모양이 주어졌을 때 생성되는 총 아이스크림의 개수를 구하는 프로그램을 작성하라.
다음의 4 × 5 얼음 틀 예시에서는 아이스크림이 총 3개가 생성된다

<문제> 음료수 얼려 먹기: 문제 조건

<문제> 음료수 얼려 먹기: 문제 해결 아이디어
- 이 문제는 DFS 혹은 BFS로 해결할 수 있다. 일단 앞에서 배운 대로 얼음을 얼릴 수 있는 공간이
상, 하, 좌, 우로 연결되어 있다고 표현할 수 있으므로 그래프 형태로 모델링 할 수 있다.
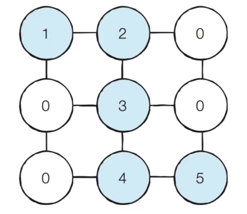
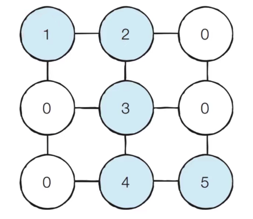
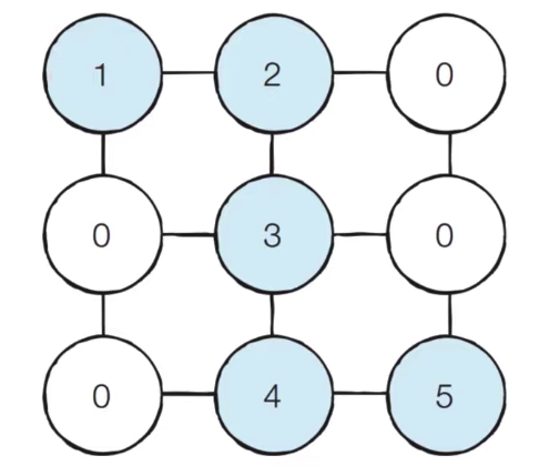
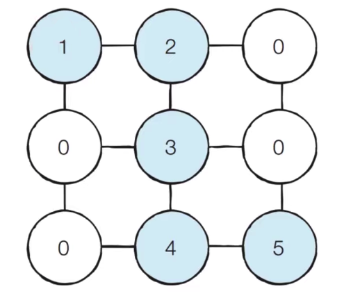
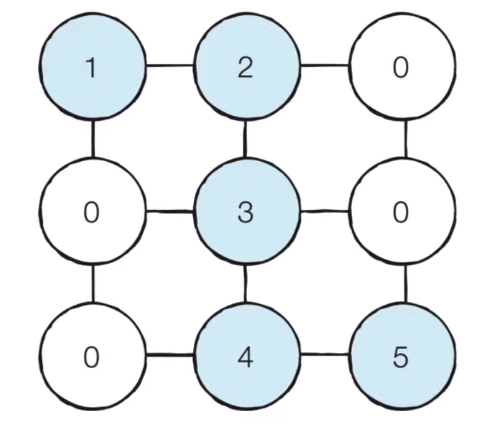
다음과 같이 3 × 3 크기의 얼음 틀이 있다고 가정하고 생각해보자

- DFS를 활용하는 알고리즘은 다음과 같다
- 특정한 지점의 주변 상, 하, 좌, 우를 살펴본 뒤에 주변 지점 중에서 '0'이면서 아직 방문하지
않은 지점이 있다면 해당 지점을 방문한다 - 방문한 지점에서 다시 상, 하, 좌, 우를 살펴보면서 방문을 진행하는 과정을 반복하면, 연결된 모든
지점을 방문할 수 있다 - 모든 노드에 대하여 1 ~ 2번의 과정을 반복하며, 방문하지 않은 지점의 수를 카운트한다
<문제> 음료수 얼려 먹기: 답안 예시 (Python)
# N, M을 공백을 기준으로 구분하여 입력 받기
n, m = map(int, input().split())
# 2차원 리스트의 맵 정보 입력 받기
graph = []
for i in range(n):
graph.append(list(map(int, input())))
# DFS로 특정한 노드를 방문한 뒤에 연결된 모든 노드들도 방문
def dfs(x, y):
# 주어진 범위를 벗어나는 경우에는 즉시 종료
if x <= -1 or x >= n or y <= -1 or y >= m:
return False
# 현재 노드를 아직 방문하지 않았다면
if graph[x][y] == 0:
# 해당 노드 방문 처리
graph[x][y] = 1
# 상, 하, 좌, 우의 위치들도 모두 재귀적으로 호출
dfs(x - 1, y)
dfs(x, y - 1)
dfs(x + 1, y)
dfs(x, y + 1)
return True
return False
# 모든 노드(위치)에 대하여 음료수 채우기
result = 0
for i in range(n):
for j in range(m):
# 현재 위치에서 DFS 수행
if dfs(i, j) == True:
result += 1
print(result) # 정답 출력
실행 결과
1 2 3 8 7 4 5 6
<문제> 음료수 얼려 먹기: 답안 예시 (Java)
import java.util.*;
public class Main {
public static int n, m;
public static int[][] graph = new int[1000][1000];
// DFS로 특정 노드를 방문하고 연결된 모든 노드들도 방문
public static boolean dfs(int x, int y) {
// 주어진 범위를 벗어나는 경우에는 즉시 종료
if (x <= -1 || x >=n || y <= -1 || y >= m) {
return false;
}
// 현재 노드를 아직 방문하지 않았다면
if (graph[x][y] == 0) {
// 해당 노드 방문 처리
graph[x][y] = 1;
// 상, 하, 좌, 우의 위치들도 모두 재귀적으로 호출
dfs(x - 1, y);
dfs(x, y - 1);
dfs(x + 1, y);
dfs(x, y + 1);
return true;
}
return false;
}
public static void main(String[] args) {
Scanner sc = new Scanner(System.in);
// N, M을 공백을 기준으로 구분하여 입력 받기
n = sc.nextInt();
m = sc.nextInt();
sc.nextLine(); // 버퍼 지우기
// 2차원 리스트의 맵 정보 입력 받기
for (int i = 0; i < n; i++) {
String str = sc.nextLine();
for (int j = 0; j < m; j++) {
graph[i][j] = str.charAt(j) - '0';
}
}
// 모든 노드(위치)에 대하여 음료수 채우기
int result = 0;
for (int i = 0; i < n; i++) {
for (int j = 0; j < m; j++) {
// 현재 위치에서 DFS 수행
if (dfs(i, j)) {
result += 1;
}
}
}
System.out.println(result); // 정답 출력
}
}
실행 결과
1 2 3 8 7 4 5 6
<문제> 미로 탈출: 문제 설명
- 동빈이는 N × M 크기의 직사각형 형태의 미로에 갇혔다. 미로에는 여러 마리의 괴물이 있어 이를
피해 탈출해야 한다 - 동빈이의 위치는 (1, 1)이며 미로의 출구는 (N, M)의 위치에 존재하며 한 번에 한 칸씩 이동할 수 있다.
이때 괴물이 있는 부분은 0으로, 괴물이 없는 부분은 1로 표시되어 있다. 미로는 반드시 탈출할 수 있는
형태로 제시된다 - 이때 동빈이가 탈출하기 위해 움직여야 하는 최소 칸의 개수를 구하라. 칸을 셀 때는 시작 칸과 마지막 칸을
모두 포함해서 계산한다

<문제> 미로 탈출: 문제 해결 아이디어
- BFS는 시작 지점에서 가까운 노드부터 차례대로 그래프의 모든 노드를 탐색한다
- 상, 하, 좌, 우로 연결된 모든 노드로의 거리가 1로 동일하다
- 따라서 (1, 1) 지점부터 BFS를 수행하여 모든 노드의 최단 거리 값을 기록하면 해결할 수 있다
- 예시로 다음과 같이 3 X 3 크기의 미로가 있다고 가정하자

- [Step 1] 처음에 (1, 1)의 위치에서 시작하자

- [Step 2] (1, 1) 좌표에서 상, 하, 좌, 우로 탐색을 진행하면 바로 옆 노드인 (1, 2) 위치의 노드를 방문하게
되고 새롭게 방문하는 (1, 2) 노드의 값을 2로 바꾸게 된다

- [Step 3] 마찬가지로 BFS를 계속 수행하면 결과적으로 다음과 같이 최단 경로의 값들이 1씩 증가하는
형태로 변경된다

<문제> 미로 탈출: 답안 예시 (Python)
from collections import deque
# N, M을 공백을 기준으로 구분하여 입력 받기
n, m = map(int, input().split())
# 2차원 리스트의 맵 정보 입력 받기
graph = []
for i in range(n):
graph.append(list(map(int, input())))
# 이동할 네 가지 방향 정의 (상, 하, 좌, 우)
dx = [-1, 1, 0, 0]
dy = [0, 0, -1, 1]
# BFS 소스코드 구현
def bfs(x, y):
# 큐(Queue) 구현을 위해 deque 라이브러리 사용
queue = deque()
queue.append((x, y))
# 큐가 빌 때까지 반복하기
while queue:
x, y = queue.popleft()
# 현재 위치에서 4가지 방향으로의 위치 확인
for i in range(4):
nx = x + dx[i]
ny = y + dy[i]
# 미로 찾기 공간을 벗어난 경우 무시
if nx < 0 or nx >= n or ny < 0 or ny >= m:
continue
# 벽인 경우 무시
if graph[nx][ny] == 0:
continue
# 해당 노드를 처음 방문하는 경우에만 최단 거리 기록
if graph[nx][ny] == 1:
graph[nx][ny] = graph[x][y] + 1
queue.append((nx, ny))
# 가장 오른쪽 아래까지의 최단 거리 반환
return graph[n - 1][m - 1]
# BFS를 수행한 결과 출력
print(bfs(0, 0))
<문제> 미로 탈출: 답안 예시 (Java)
import java.util.*;
class Node {
private int index;
private int distance;
public Node(int index, int distance) {
this.index = index;
this.distance = distance;
}
public int getIndex() {
return this.index;
}
public int getDistance() {
return this.distance;
}
}
public class Main {
public static int n, m;
public static int[][] graph = new int[201][201];
// 이동할 네 가지 방향 정의 (상, 하, 좌, 우)
public static int dx[] = {-1, 1, 0, 0};
public static int dy[] = {0, 0, -1, 1};
public static int bfs(int x, int y) {
// 큐(Queue) 구현을 위해 queue 라이브러리 사용
Queue<Node> q = new LinkedList<>();
q.offer(new Node(x, y));
// 큐가 빌 때까지 반복하기
while(!q.isEmpty()) {
Node node = q.poll();
x = node.getIndex();
y = node.getDistance();
// 현재 위치에서 4가지 방향으로의 위치 확인
for (int i = 0; i < 4; i++) {
int nx = x + dx[i];
int ny = y + dy[i];
// 미로 찾기 공간을 벗어난 경우 무시
if (nx < 0 || nx >= n || ny < 0 || ny >= m) continue;
// 벽인 경우 무시
if (graph[nx][ny] == 0) continue;
// 해당 노드를 처음 방문하는 경우에만 최단 거리 기록
if (graph[nx][ny] == 1) {
graph[nx][ny] = graph[x][y] + 1;
q.offer(new Node(nx, ny));
}
}
}
// 가장 오른쪽 아래까지의 최단 거리 반환
return graph[n - 1][m - 1];
}
public static void main(String[] args) {
Scanner sc = new Scanner(System.in);
// N, M을 공백을 기준으로 구분하여 입력 받기
n = sc.nextInt();
m = sc.nextInt();
sc.nextLine(); // 버퍼 지우기
// 2차원 리스트의 맵 정보 입력 받기
for (int i = 0; i < n; i++) {
String str = sc.nextLine();
for (int j = 0; j < m; j++) {
graph[i][j] = str.charAt(j) - '0';
}
}
// BFS를 수행한 결과 출력
System.out.println(bfs(0, 0));
}
}728x90
'CodingTest' 카테고리의 다른 글
| [이것이 코딩 테스트다] 6. 다이나믹 프로그래밍 (0) | 2020.10.04 |
|---|---|
| [이것이 코딩 테스트다] 5. 이진 탐색 (0) | 2020.10.04 |
| [이것이 코딩 테스트다] 4. 정렬 알고리즘 (0) | 2020.10.04 |
| [이것이 코딩 테스트다] 2. 그리디 & 구현 (0) | 2020.10.03 |
| [이것이 코딩 테스트다] 1. 코딩 테스트 출제 경향 분석 및 파이썬 부수기 (0) | 2020.09.30 |
댓글